Article
소나무 수관 층위별 솔잎혹파리 충영 형성률의 예측 모델
이창현
1, 박준형
2, 안효준
1, 서다혜
1, 박중열
3, 홍성원
3,4, 이준혁
5, 임효선
5, 김진우
5,*
, 김기우
1,6,*
Prediction Models of Gall Formation by Thecodiplosis japonensis in Vertical Canopy Layers of Pinus densiflora
Changhyun Lee
1, Junhyung Park
2, Hyojun Ahn
1, Dahye Seo
1, Joong Yeol Park
3, Sungwon Hong
3,4, Junhyuk Lee
5, Hyosun Lim
5, Jin Woo Kim
5,*
, Ki Woo Kim
1,6,*
2경북대학교 빅데이터 기반 글로컬 Forest Science 4.0 전문인력양성센터
1Department of Ecology and Environmental System, Kyungpook National University, Sangju 37224, Korea
2Human Resources Development Center for Big Data-based Glocal Forest Science 4.0 Professionals, Kyungpook National University, Daegu 41566, Korea
3Department of Animal Science and Biotechnology, Kyungpook National University, Sangju 37224, Korea
4Department of Horse/Companion, and Wild Animal Science, Kyungpook National University, Sangju 37224, Korea
5Department of Forest Environment, Gyeongsangbuk-do Forest Environment Research Institute, Gyeongju 38174, Korea
6Tree Diagnostic Center, Kyungpook National University, Sangju 37224, Korea
© Copyright 2025 Korean Society of Forest Science. This is an Open-Access article distributed under the terms of the
Creative Commons Attribution Non-Commercial License (http://creativecommons.org/licenses/by-nc/4.0/) which permits
unrestricted non-commercial use, distribution, and reproduction in any
medium, provided the original work is properly cited.
Received: May 26, 2025; Revised: Aug 25, 2025; Accepted: Sep 08, 2025
Published Online: Sep 30, 2025
요 약
본 연구에서는 소나무(Pinus densiflora)를 대상으로 솔잎혹파리(Thecodiplosis japonensis)의 충영 형성률을 수관 층위별로 비교하였다. 2024년 10월, 경북 영덕군의 솔잎혹파리 피해 임지에서 수고가 유사한 소나무 20본을 무작위로 선정하여 하층(3~4 m), 중층(5~6 m), 상층(7~8 m)에서 총 60,028개의 침엽을 채취하였다. 충영은 주로 잎 기부에 위치하였고 일부 중간 부위에서도 확인되었다. 충영이 형성된 잎은 건전 잎보다 평균 5 cm 짧았으며, 충영 내부에서 평균 2마리의 유충이 관찰되었다. 히트맵 분석을 통한 충영의 분포는 수관 상층에 집중되는 경향을 보였다. 수관 층위별 충영 형성률은 이항 분포(Binomial distribution)에 기반한 일반화 선형 혼합 모델(Generalized linear mixed model; GLMM)로 분석하였다. 관측된 형성률은 상층 51.0%, 중층 31.1%, 하층 23.0%로 나타났으며, 층위가 높아질수록 유의하게 증가하였다(p < 0.05). 예측된 충영 형성률은 관측값과 유의미하게 일치하였다. 하층(R2=0.37)과 중층(R2=0.57)을 활용한 모델보다 하층과 중층의 결합 모델(R2=0.67)의 예측력이 높았다. 이러한 결과는 솔잎혹파리 피해 예찰 및 방제전략 수립 시 수관 내 조사 부위 기준 설정의 기초자료로 활용할 수 있다.
Abstract
This study investigated gall formation in Pinus densiflora caused by Thecodiplosis japonensis, focusing on differences among canopy layers. In October 2024, twenty P. densiflora trees of similar heights were randomly selected from a forest stand infested by T. japonensis in Yeongdeok-gun, Gyeongsangbuk-do, South Korea. In total, 60,028 needles were sampled from the lower (3-4 m), middle (5-6 m), and upper (7-8 m) canopy layers. Galls were primarily located near the needle base, although some were also found in the middle portion, and each gall typically contained approximately two larvae. Needles with galls were on average 5 cm shorter than healthy needles. Heatmap analysis revealed a clear concentration of galls in the upper canopy. Gall formation across canopy layers was analyzed using a generalized linear mixed model with a binomial distribution. According to the results, 51.0%, 31.1%, and 23.0% of gall formation occurred in the upper, middle, and lower layers, respectively, revealing significant differences among the layers (p < 0.05). The predicted pattern of gall formation was consistent with these observations. The prediction model using gall formation in the lower and middle layers exhibited greater predictive accuracy (R2 = 0.67) than models using the lower (R2 = 0.37) or middle layer alone (R2 = 0.57). These results provide fundamental data for establishing survey standards within canopies for T. japonensis monitoring and management.
Keywords: Thecodiplosis japonensis; gall formation; canopy layer; prediction model; Pinus densiflora
서 론
솔잎혹파리(Thecodiplosis japonensis Uchida & Inouye)는 파리목 혹파리과에 속하는 산림해충으로서 1955년 일본에서 Uchida와 Inouye에 의해 최초로 기술되었다(Uchida and Inouye, 1955). 하지만 그보다 앞선 1929년에 서울 창덕궁과 전남 목포 유달산 일대에서 솔잎혹파리의 피해가 처음으로 기록된 바 있다(Takagi, 1929). 이 종은 유입 초기부터 소나무(Pinus densiflora)와 곰솔(P. thunbergii)을 주요 기주로 하여 전국적으로 확산하였고, 현재까지도 그 피해가 완전히 종식되지 않고 있다(Lee et al., 1985; Choi et al., 2019). 현재는 솔나방(Dendrolimus spectabilis), 솔껍질깍지벌레(Matsucoccus matsumurae) 등과 함께 침엽수림에 지속적인 피해를 유발하는 주요 산림해충이다(Choi et al., 2019).
솔잎혹파리는 수관 내 신초의 기부에 유충이 충영(Insect gall)을 형성하며 수액을 흡즙하여 가해한다(Park and Hyun, 1983a; Jeon, 1988; Hwang and Yim, 1990; Ko, 1971a, 1971b). 그 결과 잎의 신장 저해, 조기 낙엽, 광합성 능력 저하, 수세 약화 및 생장 억제 등 다양한 생리적 장애가 유발되며, 피해가 누적되면 수목이 고사한다. 장기적으로 산림 생태계의 구조적 안정성과 생물 다양성 유지에도 부정적인 영향을 초래할 수 있다(Park and Hyun, 1983b; Hwang and Yim, 1990; Lee et al., 2000).
솔잎혹파리의 피해 정도는 지역적 요인과 발생 연도별로 차이를 나타낸다. 국내에서는 최초 유입 이후 약 6~7년 내 충영 형성률이 급격히 증가하였다가 감소하였으며, 이후 10~12년간 낮은 충영 발생 수준이 유지되는 주기적 변동 양상이 관찰되었다(Park and Hyun, 1983a; Sone, 1986). 이러한 주기성은 북유럽의 유사 혹파리류인 T. brachyntera의 대발생 사례(Skuhravý, 1994)와도 유사하며, 이는 혹파리류의 개체군 밀도 변화가 개체군 내부 요인과 천적, 기후 등의 외부 요인이 복합적으로 작용한 결과임을 시사한다(Liebhold and Kamata, 2000; Økland et al., 2006).
산림청 피해 통계에 의하면 솔잎혹파리 피해 면적은 2015년 대비 약 79% 감소하여 2024년에는 10,503 ha로 보고되었으며, 이 중 약 95%는 강원도와 경상북도에 집중되어 있다(KFS, 2024). 이러한 피해 감소는 솔잎혹파리 개체군 밀도 변동에서 저밀도 시기에 해당하는 결과로 볼 수 있으며, 이로 인한 방제 및 예찰 활동의 위축은 재확산 시 효과적인 대응을 저해할 수 있다(Skuhravý, 1994; Liebhold and Kamata, 2000; Økland et al., 2006). 실제 솔잎혹파리 개체군이 일정한 잠복기를 거친 뒤 돌발적으로 증가하는 현상은 선행 연구에서 반복적으로 관찰된 중요한 생태적 특징 중 하나이다(Skuhravý, 1994; Liebhold and Kamata, 2000; Økland et al., 2006). 따라서 솔잎혹파리의 주기적인 개체군 변동성과 예측 불가능한 재확산 특성을 고려하면 피해가 감소한 시기에도 장기적인 예찰 및 관리가 지속적으로 필요하다(Liebhold and Kamata, 2000).
국내에서는 1970년대 이후 솔잎혹파리 피해가 전국적으로 확산함에 따라 항공기 및 지상 살포를 통한 화학적 방제가 본격적으로 도입되었다(Park and Hyun, 1983b; Lee et al., 1985). 당시 유기인계 살충제인 페니트로티온(Fenitrothion)이 지표 살포와 스프링클러 방식으로 사용되었으며(Chung, 1998; KFS, 2016), 단기적으로 개체군 밀도를 억제하는 효과를 보였다. 그러나 비선택적 살포에 따른 생태계 교란, 비표적 생물 피해, 약제 저항성 유발 등의 문제가 지속적으로 제기되었다(Choi et al., 2019). 이에 따라 일부 연구에서는 저독성 곤충 발육 저해제(IGR)를 이용한 항공 방제를 대안으로 제시하였으며, 특히 뷰프로페진 40% SC는 항공 살포 시 최대 72.4%의 방제 효과를 보여 효율성과 환경 친화성을 동시에 갖춘 방제 수단으로 평가되었다(Lee and Byun, 1994). 이후 방제 기술은 점차 고도화되어 최근에는 나무 주사, 살충제 토양주입 등 표적성을 강화한 방식들이 도입되었으나(KFS, 2023), 여전히 약제의 수관 내 불균일한 분포, 수관 상층부 도달의 한계, 인력 및 비용의 과다 소모 등은 지속 가능한 방제전략 수립을 제약하는 요인으로 지적된다. 따라서 효율적인 방제전략 수립을 위해서는 수관 내 층위별 솔잎혹파리의 피해 특성에 대한 이해가 요구되며, 이를 기반으로 한 표적 설정을 통해 방제 효과를 극대화할 필요가 있다.
산림청 조사 지침에 따르면 충영 형성률 조사는 고정 조사지의 개체목에서 수관 중간부 가지 신초를 채집하는 방식으로 수행되고 있다(KFS, 2023). 그러나 수고 생장으로 수관 중간 부위에서 가지 채집에 현실적 한계가 있다. 따라서 충영 형성률 조사 방법에 대한 현실적인 대안이 요구된다. 또한, 천적과 약제의 적용은 층위별 접근성에 따라 영향을 받으며 충영의 상층부 집중 분포는 물리적 접근의 어려움으로 방제 효율이 급격히 저하되는 문제를 초래할 수 있다(Choi et al., 2019). 특히 중층부 중심의 조사는 솔잎혹파리 피해 수준을 과소평가하게 하고 방제 시기의 정확성을 저해할 수 있다(Park and Hyun, 1983a; 1983b). 그러므로 수관 전체를 예측할 수 있는 조사 방법이 요구되며, 조사 방식의 현장 적용성과 정확도 간의 균형을 고려한 체계 마련이 필요할 것으로 판단된다. 따라서 편중된 수직적 분포의 특성은 방제 우선 대상층의 설정, 투입 전략 차별화, 기생봉 밀도 조절 등 방제전략 수립 및 충영 형성률 조사의 기초로 활용될 수 있다(Liebhold and Kamata, 2000; Økland et al., 2006).
국내 솔잎혹파리 충영 형성률에 관한 연구는 특정 환경에서의 발생 양상에 대해 일부 수행되었으나(Sone, 1986; Chung et al., 1997; Lee, 2017), 충영 발생의 수관 층위별 차이를 규명한 연구는 미비하였다. 충영의 형성과 분포는 단순한 피해 지표를 넘어 유충 생존과 개체군 증식의 공간적 전략으로 해석할 수 있으며, 수직적 분포 경향은 개체군 확산의 공간 생태학적 단서를 제공한다(Skuhravý, 1994). 따라서 수관 층위별 충영 형성률에 대한 정량적 분석은 피해 예측 모델 고도화, 정밀 방제전략 수립, 생물학적 방제 극대화 등 다양한 응용 분야에서 핵심적인 기초자료가 될 수 있다(Økland et al., 2006). 이에 본 연구에서는 충영 형성 여부에 따른 잎 길이와 충영 내부 유충의 발육 단계를 비교하여 피해 강도의 시각적 지표로서의 활용 가능성을 검토하고자 한다. 나아가 소나무 수관을 상⋅중⋅하 3개 층위로 구분하여 솔잎혹파리의 충영 형성률을 비교⋅분석하고, 수직적 공간 분포 양상을 정량적으로 예측할 수 있는 모형을 제시하고자 한다.
재료 및 방법
1. 수관 층위별 충영 형성률 조사
본 조사는 2024년 10월, 솔잎혹파리 피해가 있는 경북 영덕군 지품면 삼화리 산 5-1번지에서 수행되었다(Figure 1). 조사지에서 임의로 선정한 소나무 20본을 대상으로 수관을 하층(지면에서 3~4 m), 중층(5~6 m), 상층(7~8 m) 3개 층위로 구분하고, 각 층위에서 4방위의 중간부 가지 신초를 2개씩 채취하여 총 480개의 가지(20본×3층위×8개)를 조사하였다. 본 연구에서는 소나무의 2엽을 하나의 잎으로 간주하여 총 60,028개의 침엽을 채집하였다. 충영의 형성 여부는 침엽 기부의 비대 및 갈변 여부를 바탕으로 유충의 존재를 모두 확인하여 판단하였다(Kim et al., 2020; Qi et al., 2020). 충영 형성률은 채집된 전체 잎 수에 대한 충영이 형성된 잎 수의 백분율로 정의하였다.
Figure 1.
Field overview of this study site. (a) Roadside view of an infested site showing damage by Thecodiplosis japonensis. (b) Pinus densiflora trees in the site showing needle discoloration (dotted circles).
Download Original Figure
2. 소나무 침엽 길이 비교 및 충영 형태 관찰
총 60,028개의 소나무 침엽을 대상으로 충영의 유무를 조사하였다. 한편, 침엽 길이 비교와 유충 관찰은 충영 형성률 조사와는 별도로 수행하였다. 이를 위해 갈변된 침엽이 다수 관찰되는 가지에서 충영이 형성된 침엽을 선별하였으며, 그 중 충영이 명확히 확인된 침엽(n=50)과 건전한 침엽(n=50)을 각각 임의로 선정하여 길이를 측정하였다. 전체 표본 중 충영 형성 침엽과 건전 침엽 각각 5개를 예시로 제시하였다[Figure 2(a)]. 또한, 충영이 형성된 침엽은 기부를 세로로 절개하여 솔잎혹파리 유충의 존재 여부를 확인하고, 유충의 발육 단계를 평가하기 위해 체장을 측정하였다[Figure 2(b)]. 선별한 충영과 유충은 실체현미경(EZ4 HD; Leica Microsystems, Heerbrugg, Switzerland)으로 관찰하였다.
Figure 2.
Pine gall midge damage. (a) Comparison of needle length between non-galled needles and galled ones. (b) Four larvae in a needle gall.
Download Original Figure
3. 수관 층위별 충영 형성률의 시각화
충영 형성률의 수관 내 층위별 경향성을 시각적으로 파악하기 위해 통계 분석 프로그램(R version 4.3.0; R Core Team, R Foundation for Statistical Computing, Vienna, Austria)을 이용하여 히트맵을 작성하였다. 각 조사목을 행, 수관 층위(하층, 중층, 상층)를 열로 구성한 행렬 형태로 배열하였다. 색상 농도는 충영 형성률의 상대적 크기를 표현하므로 조사목별 또는 층위 간 충영 발생 집중도를 직관적으로 확인할 수 있도록 구성하였다.
4. 자료 분석
1) 수관 층위별 충영 형성률 관계 분석
수관 층위별 충영 형성률은 이항 분포(Binomial distribution) 일반화 선형 혼합 모델(Generalized linear mixed model)을 사용하였다. 모델의 고정 효과에는 층위별 건전엽수와 피해엽수를 포함하였으며, 랜덤 효과는 개체목 간 변이를 반영하였다(Hong et al., 2020a). 예측값을 관측값과 비교하여 모델의 설명력(R2)을 평가하였다(Bates et al., 2015). 분석에는 통계 소프트웨어 R(ver. 4.3.0)의 lme4 패키지를 사용하였다.
2) 하층과 중층 충영 형성률을 활용한 전체 수관의 충영 형성률 예측 모델링
하층 혹은 중층에서 관찰된 충영 형성률이 전체 층위의 형성률을 대변할 수 있는지를 평가하기 위하여 R의 lme4 패키지를 활용하여 이항 분포 일반화 선형 혼합 모델을 구축하였다(Bates et al., 2015). 이를 위해 하층 충영 형성률, 중층 충영 형성률, 하층과 중층의 합친 충영 형성률을 각각 독립변수로, 전체 수관 충영 형성률을 종속변수로 설정하였다. 마찬가지로 개체목의 편차를 반영하기 위해 랜덤효과는 개체목을 고려하였다. 모델 예측력을 평가하기 위해 10-fold(세트) 교차검증을 적용하였다. 데이터를 임의로 10개의 세트로 나눈 뒤, 그 중 9개 세트를 학습 데이터로 사용하고, 나머지 1개 세트를 검증 데이터로 활용하여 예측값을 계산하였다(Yadav and Shukla, 2016). 이를 50번 반복하여 R2, 평균제급근오차(Root mean squared error), 평균절대오차값(Mean absolute error)의 평균을 산출하여 일반적인 예측력을 평가하였다(Hong and Joo, 2021). 또한 하층의 20개 점 중에 잔차가 큰 두 점을 제외하여 예측력 변화를 추정하였다.
결 과
1. 소나무 침엽 길이 비교 및 충영 형태
건전 잎과 충영이 형성된 잎 간의 길이 차이가 있었다(Figure 2). 충영이 형성된 잎은 정상적인 솔잎에 비해 상대적으로 짧았다. 건전한 잎의 평균 길이는 9.18 cm(범위: 8.40~ 10.50, n=50)였으며, 충영이 형성된 잎은 4.22 cm(범위: 3.27~6.25, n=50)로 약 5 cm 짧았다. 충영이 형성된 잎 간에도 잎 길이에 차이가 있었다[Figure 2(a)]. 대부분 충영은 주로 잎의 기부에 위치하였으나, 충영엽 50개 중 2개의 잎 중간에서 충영이 관찰되었다. 충영은 솔잎 기부에 구형 또는 타원형의 비대한 외형을 나타내며, 표면은 갈변되어 있었다. 충영 내부에는 유충이 다수 관찰되었으며[Figure 2(b)], 유충의 길이는 약 1.85 mm(범위: 1.5~2.5, n=30)였다.
2. 수관 층위별 충영 형성률 차이
대부분의 개체목에서 수관 상층부의 충영 형성률이 중층과 하층에 비해 높았다(Figure 3). 일부 개체목(10, 16, 17)의 상층부에서는 평균 72.94%(±2.50)의 높은 충영 형성률을 보였다. 층위별 충영 형성률을 산출하면 관측값과 유의미하게 일치하였다(R2=0.949). 수관 상층부에서의 관측한 평균 충영 형성률은 50.96%로, 중층(31.09%)보다 19.87%, 하층(23.00%)보다 27.96% 높았다(Figure 4). 예측된 충영 형성 확률은 하층에서 22.90%, 중층에서 31.90%, 상층에서 52.20%로, 수관 층위가 높아질수록 충영 형성률이 증가하는 경향을 보였다(수식 1). 중층(β=0.46±0.02, p<0.001)과 상층(β=1.30±0.02, p< 0.001)은 모두 하층에 비해 형성률이 유의하게 높았으며, 상층은 중층에 비해 충영 형성률이 유의하게 높았다(β=0.84±0.02, p<0.001).
(Pi = i번째 나무의 충영 형성 확률, Li = 하층의 충영 형성률, Mi = 중층의 충영 형성률, Ui = 상층의 충영 형성률)
Figure 3.
Heatmap of gall formation (%) in each canopy layer of 20 Pinus densiflora trees. Color scale represents the percentage of galled needles in each tree.
Download Original Figure
Figure 4.
Percentage of gall formation by Thecodiplosis japonensis across canopy layers of Pinus densiflora. Different letters (a, b, and c) indicate statistically significant differences among layers (p<0.001).
Download Original Figure
3. 하층과 중층 충영 형성률을 활용한 전체 수관의 충영 형성률 예측
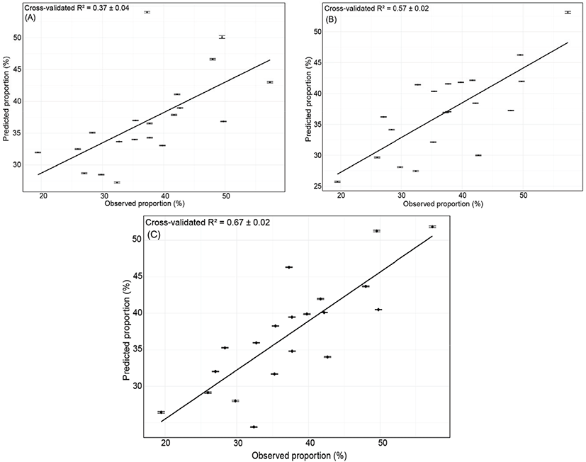
하층과 중층의 충영 형성률을 바탕으로 전체 층위의 충영 형성률을 일정 수준 예측할 수 있음을 확인하였다(Table 1). 하층 충영 형성률만을 독립변수로 사용한 모델(평균 제곱근오차, RMSE= 0.07±0.002; 평균 절대오차, MAE=0.04±0.001)은 전체 충영 형성률 변동의 약 37%(교차검증 기반 R2=0.37 ±0.04)를 예측하였다[Figure 5(A)]. 중층만을 사용한 모델(0.06±0.002, 0.05±0.002)에서는 57%(R2=0.57±0.02)를 예측하였다[Figure 5(B)]. 하층과 중층의 충영 형성률을 합산한 모델(0.05±0.002, 0.04±0.001)의 예측력이 67%(R2=0.67± 0.02)로 단일 층위만 사용한 모델에 비해 향상되었다[Figure 5(C)]. 또한, 하층에서의 20개 점 중에 잔차가 큰 두 점을 제외하면 예측력이 37%에서 50%로 향상되었다(Figure 6).
Table 1.
Prediction models of gall formation by canopy layers (Lower, Middle, Lower + Middle) and model performance (R2, RMSE, MAE).
|
Canopy layer |
Model |
R2
|
RMSE |
MAE |
|
Lower |
|
0.37±0.04 |
0.07±0.002 |
0.04±0.001 |
|
Middle |
|
0.57±0.02 |
0.06±0.002 |
0.05±0.002 |
|
Lower + Middle |
|
0.67±0.02 |
0.05±0.002 |
0.03±0.001 |
Download Excel Table
Figure 5.
Relationship between observed and predicted values obtained from 10-fold cross-validation repeated 50 times. (A) Model based solely on the observed percentage of gall formation in the lower canopy. (B) Model based solely on the observed percentage of gall formation in the middle canopy. (C) Model incorporating both lower- and middle-canopy percentages of gall formation. Each point represents the mean observed proportion and the corresponding mean predicted probability for a given sample. Vertical error bars indicate the standard error of the predicted probabilities. The solid black line illustrates the linear relationship between observed and predicted values, and the R2 value quantifies the predictive accuracy of each model with respect to percentage of gall formation.
Download Original Figure
Figure 6.
Relationship between observed and predicted values obtained from 10-fold cross-validation repeated 50 times, for a model based solely on the observed percentage of gall formation in the lower canopy. Red circles indicate the two points excluded from this analysis. Each point represents the mean observed proportion and the the corresponding mean predicted probability for a given sample. Vertical error bars denote the standard error of predicted probabilities. The solid black line illustrates the linear trend between observed and predicted values, and R2 value quantifies the model’s predictive accuracy calculated after excluding the two outlier points.
Download Original Figure
고 찰
본 연구에서는 솔잎혹파리의 충영 형성률을 수관 층위별로 비교하여 층위 간 정량적 차이를 제시하였다. 충영의 발생은 수관 층위에 따라 분포 양상이 뚜렷한 차이를 보였으며, 특히 하층부에서의 발생 정도가 수목 전체 피해와 유의한 상관관계를 보였다. 이는 기존의 중층 중심 조사 지침(KFS, 2023)과 비교할 때 하층부 자료만으로도 개체목 수준에서의 피해 추정이 일정 부분 가능함을 시사한다.
일본 교토대 실험림에서 수행된 선행 연구에서도 솔잎혹파리류가 주로 2, 3차지에서 피해를 집중적으로 일으키며 해당 부위에서의 충영 형성이 수목 전체 피해율과 선형적 관계를 보이는 것으로 보고된 바 있다(Sone, 1986). 이러한 결과는 일부 층위의 자료를 활용하여 수관부 전체 피해를 추정하는 조사 방법의 적용 가능성을 뒷받침한다. 또한, 한국과 일본에서 이루어진 기생벌 군집 구조에 관한 장기 연구(Choi et al., 2017)는 솔잎혹파리 개체군 분포에 영향을 주는 주요 생물학적 요인을 제시하였으며, 이를 토대로 예찰 설계에서 층위별 충영 특성을 반영할 필요성이 제기된다. 따라서 본 연구는 현장 조사에서의 시간과 노동력을 효율적으로 절감할 수 있는 하층부 중심 모니터링 체계로의 전환 가능성을 제시하며 이를 토대로 위험 지도 작성이나 피해 예측 모델 구축, 향후 천적 방제전략과 연계한 종합적 관리 방안으로의 발전이 기대된다.
Chung et al.(1997)의 연구에서는 평창, 강릉, 양양 지역의 소나무림을 대상으로 1992, 1995, 1996년에 솔잎혹파리 수관 부위별 충영 형성률을 바탕으로 상층부 피해 집중 양상을 보고한 점에서 본 연구와 유사성을 지닌다. 선행 연구와 본 연구 모두 솔잎혹파리 충영의 공간적 분포가 수관부 층위에 따라 뚜렷한 차이를 보임을 확인하였다. 그러나 두 연구는 조사 지역과 층위별 충영 형성률의 분석 방법에서 차이가 있다. 본 연구는 과거 연구로부터 약 30년 후인 2024년에 경북 영덕군의 소나무림을 대상으로 수행하여 수관 층위별 피해 특성을 구체적으로 비교하였다. 충영이 형성된 잎은 건전 잎보다 길이가 짧고, 기부에 구형 또는 타원형의 충영이 형성되며 내부에서는 유충이 관찰되었다. 이러한 비교는 충영 형성 여부에 따른 피해 강도의 시각적 지표로 활용될 수 있을 것으로 판단된다. 또한, 히트맵을 활용하여 충영 분포를 시각화함으로써 개체별 수직 분포 패턴을 직관적으로 제시하였으며, 이는 솔잎혹파리의 충영 형성이 수직적으로 편중되는 공간적 특성을 정성적으로 뒷받침한다.
수관 상층부에 집중된 피해 양상은 방제 작업의 효율성과 효과적인 전략 수립을 위한 핵심적인 고려 요소이다. 수관 상층에서 충영 형성률이 가장 높게 나타난 원인은 생태적 및 물리적 요인에 기인한 것으로 해석된다(Park and Hyun, 1983a; 1983b). 일반적으로 수관 상층부는 일조량이 풍부하고 기온 변화에 민감하며 광합성 효율이 높아 곤충의 산란 및 유충 생존에 유리한 조건을 제공한다(Lee et al., 2000). 솔잎혹파리는 주로 햇빛을 선호하는 특성을 보이며, 상층부의 잎은 조직이 연하고 수분 함량이 적절하여 산란 기질로서 적합할 가능성이 크다. 수관 상부는 공기 흐름이 상대적으로 원활하고 포식자나 기생봉 등의 천적 접근이 어려우므로 유충의 생존율을 높일 수 있다(Choi et al., 2017). 이러한 요인은 솔잎혹파리의 생물학적 특성과 결부되어 충영 형성을 상층에 집중시킨 것으로 판단된다.
본 연구에서는 산림청 예찰 지침(KFS, 2023)을 준수하여 수관 상⋅중⋅하층에서 신초를 채취하고 충영 유무를 수작업으로 조사하였다. 상층에서 충영 형성률이 현저히 높게 나타났으며, 평균적으로 피해 등급 기준상 ‘심’(50% 이상)에 해당하였다. 이는 선행 연구에서 보고된 수관 상층의 피해 집중 경향과 일치하며(Furuno and Sone, 1978; Sone, 1986; Hwang and Yim, 1990), 전형적인 수관 층위별 분포 패턴으로 해석된다. 또한, 하층부 충영 형성률 데이터만으로 상층부 피해를 예측할 수 있는 정량 모델의 가능성을 제시하며, 효율적인 예찰 체계로서의 활용 타당성을 입증한다. 다만, 중층 중심의 예찰 체계는 수관 상층의 높은 피해 수준을 반영하지 못해 전체 피해를 과소평가할 수 있으며, 상층만을 기준으로 할 경우 국지적 충영 집중이 전체 피해로 과대 해석될 수 있다. 따라서 수관 전체를 고르게 반영한 조사 설계와 하층과 중층 중심의 예측 모델을 결합함으로써 예찰의 정확성과 효율성을 동시에 확보할 수 있을 것으로 판단된다.
한편, 생물학적 방제는 기존 화학적 방제의 한계를 보완하기 위해 점차 확대되고 있으며, 우리나라에서는 솔잎혹파리 기생봉의 자연 기생률이 10% 미만일 때, 5~6월 성충 출현 시기에 대표 기생봉 종인 솔잎혹파리먹좀벌(Inostemma seoulis)과 혹파리살이먹좀벌(Platygaster matsutama)을 방사하는 전략이 채택되고 있다(KFS, 2025). 산림청은 매년 기생률 및 피해 발생 양상을 기준으로 방사 시기와 대상 지역을 조정하고 있으며, 이를 기반으로 효과적인 생물학적 방제 정책을 수립하고 있다. 따라서 결과에 나타난 층위별 피해 분포 특성은 향후 기생봉 방사 전략의 표적화에 기초자료로 활용될 수 있다. 특히 수관부 상층에 피해가 집중되는 결과는 상층부 중심의 기생봉 방사 전략 수립에 실질적 근거를 제공하며, 기생봉의 생존확률과 표적 도달 효율 향상을 위한 전략 개발에 기여할 수 있을 것으로 보인다.
하층, 중층, 상층의 충영 형성률이 모두 전체 충영 형성률과 유의미한 양의 상관관계를 보였으며, 각 층위의 충영 형성률이 증가할수록 전체 층위의 충영 형성률도 함께 증가하는 경향을 확인하였다. 이에 따라 세 층 중 어느 한 층위만을 대상으로 조사해도 충영 형성 여부를 일정 수준 이상으로 판단할 수 있는 것으로 추정된다. 세 층위 중에서 상층의 충영 형성률이 52.2%로 가장 높아, 상층에서 시료 채집 시에 감염된 충영을 발견할 확률이 중층과 하층에 비해 높다. 따라서 피해목을 발견하는 데 있어 상층에서 시료를 채집하는 것이 이상적일 수 있지만, 수고 생장으로 인해 수관 상위의 가지 채집에는 현실적인 한계가 있다(Park and Hyun, 1984). 따라서 조사 효율성과 접근성을 고려할 때, 상층보다는 하층 또는 중층에서 시료를 채집하는 것이 실용적인 대안이 될 수 있다.
본 연구의 수식은 20본의 개체목 자료를 기반으로 도출되었으며, 단일 모형에서 설명력과 예측력을 동시에 평가하였다. 제시된 수식을 대상으로 10-fold 교차검증을 50회 반복한 결과, 일정 수준의 예측력이 확인되었다(Yates et al., 2023). 중층만을 활용한 모델은 전체 층위의 충영 형성률의 약 57% 수준을 예측하므로 다소 제한적일 가능성이 있다. 반면, 하층과 중층을 함께 고려한 모델은 67%의 설명력을 보여 하층을 추가로 조사하는 것이 전체 층위의 충영 형성률을 더 정확하게 반영할 수 있는 조사 방법으로 판단된다. 특히 하층은 중층과 상층에 비해 접근이 용이하여 조사의 효율성이 높은 장점이 있다. 하층 단일 모델의 경우 예측력은 37%로 낮았으나, 전체 층위 충영 형성률 변동을 일정 수준 예측할 수 있어 대안적 활용 가능성이 있다(Hong et al., 2020b). 또한, 잔차가 큰 두 점을 제외하면 예측력이 50%로 향상되어 유의미한 수준으로 평가된다(Hawkins et al., 2000). 향후 딥러닝 기법을 적용하면 예측 모델의 정교함과 정확도를 향상할 수 있을 것으로 기대된다(Kim et al., 2025).
본 연구는 솔잎혹파리 피해가 수관 상층부에 집중되는 공간적 분포 특성을 규명하고 하층 및 중층의 충영 형성률을 기반으로 전체 수관의 충영 형성률을 예측할 수 있는 모델을 제시하였다는 점에서 의의가 있다. 다만, 시료 채집 시기가 2024년 10월이므로 계절 변화나 연차 간 변동을 충분히 반영하지 못한 한계가 있으며, 조사지가 경북 영덕군에 국한되어 있으므로 전국 단위로의 일반화에는 다소 제약이 따른다. 향후 연구에서는 전국 단위의 조사지 설정과 장기적인 예찰을 통해 피해 추이를 정밀하게 추적하는 것이 바람직하다. 또한, 층위별 충영 형성 패턴에 기초하여 피해의 생리적 메커니즘 및 천적 기생봉과의 상호작용 등에 관한 연구도 병행되어야 한다. 이러한 다면적 접근은 향후 화학 및 생물학적 방제전략 수립, 예찰 체계 고도화, 피해 진단 조견표 개발 등 실용적 응용뿐 아니라, 궁극적으로 층위별 자료를 활용한 고도화된 예측 모델 구축에 핵심 자료의 역할을 할 것으로 기대한다.
감사의 글
본 연구는 솔잎혹파리 천적의 기생 구조 및 형태학적 특성 연구 용역과 산림청(한국임업진흥원) 산림과학기술 연구개발사업(RS-2024-00404388)의 지원에 의하여 이루어진 것입니다.
References
Bates, D., Machler, M., Bolker, B., and Walker, S. (2015). Fitting linear mixed-effects models using lme4. Journal of Statistical Software 67: 1-48.

Choi, W.I., Nam, Y.W., Lee. C.Y., Choi. B.K., Shin. Y.J., Lim, J.H., Koh, S.H. and Park, Y.S. 2019. Changes in major insect pests of pine forests in Korea over the last 50 years. Forests 10(8): 692.

Chung, S.B. 1998. Use of sprinkler system for control of pine needle gall midge,
Thecodiplosis japonensis Uchida et Inouye. II. Effectiveness of ground application with low concentration of insecticides. Journal of Korean Society of Forest Science 87(4): 571-576.
Chung, Y.J., Lee, J.H. and Lee, B.Y. 1997. Distribution of pine needle gall midge,
Thecodiplosis japonensis Ucida et Inouye (Diptera: Cecidomiidae), infestations on Japanse red pine,
Pinus densiflora S. et Z., Korean Journal of Applied Entomology 36(2): 150-155.
Furuno, T. and Sone, K. 1978. Studies on the insect damage upon the pine species imported in Japan (VIII). On Japanese pine needle gall midge,
Thecodiplosis japonensis Uchida et Inouye. Research Bulletins of the College Experiment Forests, Kyoto University 50: 12-26.
Hawkins, C. P., Norris, R. H., Hogue, J. N. and Feminella, J. W. (2000). Development and evaluation of predictive models for measuring the biological integrity of streams. Ecological Applications 10(5): 1456-1477.

Hong, S. and Joo, G. J. (2021). Secondary forest development during urbanization sustains apex carnivore populations of Eurasian otters (Lutra lutra). Landscape and Urban Planning 208: 104021.

Hong, S., Di Febbraro, M., Loy, A., Cowan, P. and Joo, G. J. 2020a. Large scale faecal (spraint) counts indicate the population status of endangered Eurasian otters (Lutra lutra). Ecological Indicators 109: 105844.

Hong, S., Recknagel, F., Kim, H. G., Chon, T. S. and Joo, G. J. (2020b). Relationships of otter populations with fish, macroinvertebrates and water quality across three Korean rivers revealed by inferential modelling based on evolutionary computation. Ecological Informatics 59: 101108.

Hwang, Y.C. and Yim, K.B. 1990. Ecological variation between two populations of
Thecodiplosis japonensis Uchida et Inouye in Korea. Journal of the Korean Forest Society 79(2): 115-126.
Jeon, M.J. 1988. Biological studies on the pine needle gall midge,
Thecodiplosis japonensis (Diptera: Cecidomyiidae) and its parasites (Hymenoptera: Platygastridae). Journal of Korean Forest Society 77(1): 122-123.
KFS (Korea Forest Service). 2016. Guidelines for the control of pine wilt disease (2nd revision). Korea Forest Service, Daejeon, Korea.
KFS (Korea Forest Service). 2023. Practical manual for the monitoring and control of the pine needle gall midge. Korea Forest Service, Daejeon, Korea.
KFS (Korea Forest Service). 2024. 2023 statistics on the occurrence of forest pests and diseases. Korea Forest Service, Daejeon, Korea.
KFS (Korea Forest Service). 2025. 2025 plan for the monitoring and control of forest pests and diseases. Korea Forest Service, Daejeon, Korea.
Kim, J.K., Ha, M.L., Lee, S.G., Kim, H. and Lee, C.K. 2020. Difference of gall formation rates and parasitic rates of
Thecodiplosis japonensis (Diptera: Cecidomyiidae) larvae in pine forests around urban and mountain villages. Journal of Forest and Environmental Science 36(4): 290-297.
Ko, J.H. 1971a. A study on the ecology of the pine gall-midge (
Thecodiplosis japonensis Uchida et Inouye) (I) -The percentage of larval falling to ground and the degree of gall-forming-. Journal of Korean Society of Forest Science 5: 22-26.
Ko, J.H. 1971b. Study on the ecology of the pine gall-midge (
Thecodiplosis japonensis Uchida et Inouye) (II) -The summer felling period and distribution of infested degrees-. Journal of Korean Society of Forest Science 7: 40-44.
Lee, B.Y. Tadashi Miura, and Yoshihiro Hirashima. 1985. Survivorship and other factors relating to population fluctuations of the pine needle midge,
Thecodiplosis japonensis (Diptera, cecidomyiidae). Esakia 23: 119-130.

Lee, C.G. 2017. Morphological characteristics of
Thecodiplosis japonensis (Diptera: Cecidomyiidae) larvae in pine forests around Onsan industrial complex in Ulsan, Korea. Korean Journal of Applied Entomology 56(1): 77-81.

Lee, C.Y., Chae, H.M. and Kim, J.K. 2000. A study on the tree vigor of damaged by
Thecodiplosis japonensis Uchida et Inouye. Journal of Forest Science, Kangwon National University 16(1): 34-41.
Lee, H.R. and Byun, B.H. 1994. Studies on selection of less toxic insecticides for the aerial control of pine needle gall midge (
Thecodiplosis japonensis Uchida et Inouye). Korean Journal of Applied Entomology 33(3): 201-206.
Liebhold, A. and Kamata, N., 2000. Are population cycles and spatial synchrony universal characteristics of forest insect populations?. The Society of Population Ecology and Springer-Verlag Tokyo(Special feature) 42: 205-209.

Park, K.N. and Hyun, J.S. 1983a. Studies on the effects of the pine needle gall midge,
Thecodiplosis japonensis uchida et inouye, on the growth of the red pine,
Pinus densiflora Siebold et Zuccarini (I)-changes in gall formation rate. Journal of Korean Forest Society 61: 20-26.
Park, K.N. and Hyun, J.S. 1984. Studies on the effects of the pine needle gall midge,
Thecodiplosis japonensis Ucida et Inouye, on the growth of the red pine,
Pinus densiflora S. et Z. (III)-Radial growth impact. Journal of Korean Forest Society 65: 48-53.
Park, K.N., Tadashi Miura and Yoshihiro Hirashima. 1985. Outbreaks history and present status of the pine needle gall midge in Korea. Esakia 23: 115-118.

Park. K.N. and Hyun J.S., 1983b. Studies on the effects of the pine needle gall midge,
Thecodiplosis japonensis Uchida et Inouye, on the growth of the red pine,
Pinus densiflora S. et Z. (II)-Growth impact on red pine. Journal of Korean Forest Society 62: 87-95.
Qi, Y., Duan, C., Ren, L. and Wu, H. 2020. Growth dynamics of galls and chemical defence response of
Pinus thunbergii Parl. to the pine needle gall midge,
Thecodiplosis japonensis Uchida & Inouye (Diptera: Cecidomyiidae). Scientific Reports 10: 12289.



Skuhravý, V. 1994. On the differences between
Thecodiplosis brachyntera Schwäg. and
T. japonensis Uch.
et In. (Diptera: Cecidomyiidae) on the genus Pinus. Anzeiger für Schädlingskunde, Pflanzenschutz und Umweltschutz 67: 156-160.

Sone K. 1986. Impact of the pine needle gall midge,
Thecodiplosis japonensis, on the growth of pine trees. Journal of the Japanese Forestry Society 68(7): 278-283.
Takagi, G., 1929. Outbreak of fearful new insect pest on red pine. Chosen Forestry 53: 483-490.
Uchida, T. and Inouye, M. 1955. Eine neue
Thecodiplosis-Art (Diptera:
Itonididae). Insecta Matsumurana 19: 44-45
Yates, L. A., Aandahl, Z., Richards, S. A. and Brook, B. W., 2023. Cross validation for model selection: a review with examples from ecology. Ecological Monographs 93(1): e1557.
