Journal of Korean Society of Forest Science
Korean Society of Forest Science
Article

폐탄광 산림복원지 소나무 어린나무 상대생장식 개발

임수빈1, 박기형1,*https://orcid.org/0000-0003-2278-6393
Subin Im1, Ki-Hyung Park1,*https://orcid.org/0000-0003-2278-6393
국립산림과학원 산림생태연구과
Division of Forest Ecology, National Institute of Forest Science, Seoul 02455, Korea
*Corresponding Author E-mail: bear1127@korea.kr

© Copyright 2025 Korean Society of Forest Science. This is an Open-Access article distributed under the terms of the Creative Commons Attribution Non-Commercial License (http://creativecommons.org/licenses/by-nc/4.0/) which permits unrestricted non-commercial use, distribution, and reproduction in any medium, provided the original work is properly cited.

Received: Sep 04, 2025; Revised: Oct 14, 2025; Accepted: Oct 27, 2025

Published Online: Dec 31, 2025

요 약

본 연구는 폐탄광 산림복원지에서 소나무(Pinus densiflora) 어린나무(흉고직경 < 6 cm)의 탄소저장량을 정량적으로 추정하기 위한 바이오매스 상대생장식 개발을 목적으로 수행되었다. 연구 대상지는 경상북도 문경과 봉화 지역의 폐탄광 복원지로, 총 43본의 어린나무를 굴취하여 근원경(RCD), 흉고직경(DBH) 및 수고(H)를 측정하였다. 각 대상목은 줄기, 수피, 가지, 잎, 뿌리로 구분하여 건조중량을 측정하였으며, 이를 바탕으로 부위별 및 전체 바이오매스 상대생장식을 개발하였다. 본 연구에서 개발된 상대생장식은 모든 바이오매스 구성요소에서 높은 예측 정확도를 보였다. 특히 흉고직경을 이용한 모델이 가장 높은 설명력을 보였으며, 흉고직경과 수고를 결합한 형태(DBH × H, DBH2 × H)는 모델의 안정성과 예측 신뢰도를 향상시켰다. 근원경을 이용한 모델은 바이오매스 추정시 잔차의 분포가 균일해 통계적 안정성을 보였다. 모든 모델에서 보정계수가 1.03 이상으로 나타나, 로그 변환으로 인한 예측 편향을 줄이기 위한 보정계수 적용이 필요할 것으로 판단된다. 본 연구에서 개발된 상대생장식은 기존 일반 조림지 기반 추정식의 한계를 극복하고, 산림 복원 초기 단계에서 측정 불가능했던 탄소저장량을 정밀하게 반영할 수 있다는 점에서 학술적, 정책적 의의가 있다. 국가 온실가스 인벤토리 및 탄소중립 이행 모니터링에 기여할 뿐 아니라, 산림복원 효과성 평가와 국제적 탄소보고체계에도 활용 가능성이 높다. 향후 다양한 수종 및 입지 조건을 고려한 장기적이고 확장된 연구로 진행될 필요가 있다.

Abstract

This study aimed to develop biomass allometric equations for estimating carbon storage in young Pinus densiflora (diameter at breast height (1.2 m) < 6 cm) established in reforested areas of abandoned coal mines. Research sites were located in Mungyeong and Bonghwa, Gyeongsangbuk-do, Republic of Korea. A total of 43 young trees were excavated to measure root collar diameter (RCD), diameter at breast height 1.2 m (DBH), and tree height (H). Each tree was separated into stem, bark, branch, foliage, and root components, and oven-dry biomass was quantified to construct equations for component and total biomass. Among the independent variables, DBH provided the strongest explanatory power, while combined predictors (DBH × H, DBH2 × H) improved model stability and predictive accuracy. RCD showed a consistent residual distribution, indicating statistical reliability. All models exhibited correction factors (CFs) above 1.03, underscoring the need to apply CF to minimize bias associated with log-transformed regressions. The proposed equations address limitations of conventional models derived from general plantation datasets by enabling more precise estimation of carbon storage during early restoration stages. This advancement offers scientific and policy value by providing a methodological basis for quantifying early-stage restoration carbon stocks that were previously difficult to measure. The models can support carbon accounting and reporting at national and international levels by improving inventory accuracy and aligning with global climate frameworks. They can also be used to evaluate the effectiveness of forest restoration efforts. Future studies incorporating diverse species and additional sites will help broaden the applicability of the equations.

Keywords: climate change; carbon dynamics; biomass; degraded land; restoration ecology

서 론

산림은 매년 수십억 톤의 이산화탄소를 흡수하는 주요 탄소흡수원으로, 기후변화 완화에 있어 핵심적인 역할을 담당한다(Sebrala et al., 2022). 파리 협정에서는 국가결정기여(Nationally Determined Contributions; NDCs)를 통해 각 국가별 온실가스 감축 목표를 설정하면서, 산림의 보전과 보호를 강화할 필요성을 강조하고 있다. 또한, 국제 기구는 산림의 탄소저장 능력을 향상시키고 이를 정확히 추정하는 연구의 필요성을 강조하고 있다(UNFCCC, 2021). 국내에서도 산림훼손과 기후변화에 대응하기 위한 방안으로, 산림의 생태계 회복뿐만 아니라 탄소 흡수원 기능을 강화할 수 있는 산림복원의 필요성이 지속적으로 증가하고 있는 추세이다. 특히, 2050 탄소중립 목표 달성을 위한 전략으로 각 부문별 목표를 설정했으며, 산림청은 산림 보호와 산림복원을 추진하여 새로운 탄소 흡수원을 창출하고 산림의 탄소저장량 극대화를 산림부분 목표로 설정했다(Government of the Republic of Korea, 2020). 산림복원은 자연적⋅인위적으로 훼손된 산림의 생태계 및 생물 다양성이 원래 상태에 가깝게 유지⋅증진될 수 있도록 그 구조와 기능을 회복시키는 것을 말한다(KFS, 2020). 이러한 과정을 통해 복원된 산림은 새로운 탄소흡수원으로 기능할 수 있다(Zhang et al., 2024). 따라서 국제적으로 국가결정기여와 국내 탄소중립 목표를 실현하고 정책적 의사결정을 뒷받침하기 위해서 산림복원지의 탄소저장량을 과학적으로 정량화 하는 것이 필요하다.

산림에서 탄소저장량을 추정하는 방식은 크게 두 가지로 나눌 수 있다. 첫 번째는 바이오매스 상대생장식을 활용하는 방법으로, 탄소저장량을 추정하고자 하는 임분에서 측정한 밀도, 흉고직경(Diameter Breast Height; DBH), 수고(Tree height; H), 근원경(Root Collar Diameter; RCD) 등의 인자를 상대생장식에 대입하여 바이오매스를 추정하는 방법이다(Son, 2015). 두 번째로는 탄소배출계수를 이용하는 방법으로, 재적, 목재기본밀도, 바이오매스 확장계수, 뿌리함량비, 탄소전환인자 등을 이용하여 추정한다(Han et al., 2017). 현재 많은 연구에서는 탄소저장량을 추정하기 위해 바이오매스 상대생장식을 이용한다. 이는 해당 방식이 필요한 수목 측정 자료를 수집하기 용이하며, 적용이 비교적 간단하다는 장점 때문이다(Pati et al., 2022). 우리나라는 소나무류, 참나무류, 상록활엽수를 포함한 22개의 수종(Son et al., 2014)을 비롯해 백합나무(Kang et al., 2016), 종가시나무(Jeong et al., 2014), 붉가시나무(Kim and Lee, 2017)등 다양한 수종을 대상으로 상대생장식이 개발되었다. 그러나 현재 존재하는 바이오매스 상대생장식은 일반 조림지에 식재된 수종을 대상으로 개발된 식으로, 식생 생산성이 일반 조림지보다 상대적으로 낮은 경향을 보이는 산림복원지에 그대로 적용하기에는 추정 오차가 클 가능성이 높다(Sheoran et al., 2010; Chodak et al., 2011). 일반적으로 수목이 흉고직경 6 cm 이상에 도달하기까지 평균 약 12년이 소요된다(Moon et al., 2020). 이는 현존하는 상대생장식으로는 식재 후 최소 약 10년간 탄소저장량 추정이 어렵다는 뜻이기도 하다. IPCC에서는 정확한 탄소저장량을 추정하기 위해 특정 수종과 공간에 맞는 높은 Tier 수준의 상대생장식을 개발하도록 권장하고 있다(IPCC, 2006). 국외에서는 산림 공간 유형과 수종 그리고 어린나무 및 관목을 대상으로 한 다양한 상대생장식이 개발(Puc-Kauil et al., 2020; Oumasst et al., 2024; Giraldo-Salazer et al., 2025)되고 있는 반면, 국내에서는 공간 유형별 상대생장식 및 흉고직경 6 cm 미만의 어린 수목의 상대생장식 연구는 미흡한 실정이다.

소나무(Pinus densiflora)는 전국에 걸쳐 널리 분포하며, 우리나라를 대표하는 수종이다. 우리나라의 산림 중 약 36.9 %는 소나무 중심의 침엽수림으로, 소나무 숲은 전국 산림 면적의 25 %를 차지한다(Kim et al., 2024). 󰡔산림복원용 자생식물 및 자연재료의 공급 등에 관한 고시󰡕에는 산림복원사업 시행 시 자생식물과 자연재료를 이용하여야 한다고 명시되어 있다. 소나무는 산림청에서 지정하고 고시한 산림복원용 목본 자생식물이다(KFS, 2020). 또한, 소나무는 산림생태복원 사후 모니터링 대상지에서 식재된 수목 중 가장 빈도가 높은 교목으로, 산림 복원지의 주요 수종에 해당한다(Lee et al., 2024).

본 연구는 산림복원 유형 중 하나인 폐탄광 복원지를 대상으로 흉고직경이 6 cm 미만인 소나무 어린나무 바이오매스 상대생장식을 개발하기 위해 진행되었다. 본 연구를 통해 폐탄광 복원지의 소나무 어린나무 탄소저장량 추정의 정확도를 제고할 수 있을 것으로 예상된다.

재료 및 방법

1. 연구시험지

본 연구는 대한민국 경상북도 문경시 가은읍 완장리 산63-51(N36°40′50.33″, E127°57′53.43″)과 경상북도 봉화군 소천면 서천리 산96-1 외2(N36°51′58.16″, E129°03′11.89″)에 위치한 폐채석⋅채광 복원지를 대상으로 진행되었다(Figure 1, Table 1). 경상북도 문경과 봉화는 일제강점기시대부터 활발히 채광과 채굴 산업이 이루어진 곳이었으나, 현재는 많은 광산이 폐광한 상태이다(KIGAM, 1963; Gang et al., 1997; Mungyeongsi, 2022). 문경 폐채석장은 2000년 초반부터 복원사업이 시행되었으며, 가장 최근 2022년도에 복원 사업이 시행되었다. 봉화 폐채석장은 2014년부터 2020년도까지 복원사업이 시행되었다. 문경 시험지의 평균 해발 고도는 392 m, 방위는 남서(SW), 경사는 5° 이며, 사면을 포함하는 지역이다. 봉화 시험지의 평균 해발 고도는 654 m, 방위는 남서(SW), 경사는 17° 이며, 사면과 평지가 혼재하는 지역이다. 산림 훼손 이후 복원사업이 진행된 두 시험지의 기존 산림 토양형은 문경 시험지의 경우 갈색건조산림토양형(B1), 봉화 시험지의 경우 갈색약건산림토양형(B2)에 속한다(KFS, 2025). 두 복원사업 모두 주요공종(식생공) 및 목표종에 소나무를 대상으로 복원을 진행하였다.

jksfs-114-4-403-g1
Figure 1. Location of the study site for development of biomass allometric equations of young Pinus densiflora.
Download Original Figure
Table 1. Summary of environmental and restoration attributes by stand site.
Site Mungyeong Bonghwa
Type Mining/Quarry area Mining/Quarry area
Restoration period 2000 - 2022 2014 - 2020
Latitude (N) 36°40′50.33″ 36°51′58.16″
Longitude (E) 127°57′53.43″ 129°03′11.89″
Mean elevation (m a.s.l.) 392 654
Aspect SW SW
Slope (°) 5 17
Terrain classification Hillside Hillside/plain
Forest Soil type Brown Dry Forest Soil (B1) Brown Weakly Dry Forest Soil (B2)
Target species Pinus densiflora Pinus densiflora

Notes. Type is based on the forest restoration type criteria of the KFS.

Download Excel Table
2. 바이오매스 조사

두 시험지에서 시험목을 선별하기 위해 100 m2의 사각형 방형구를 각각 3곳을 구획하여 방형구 내 모든 수목의 근원경, 흉고직경, 수고를 조사하였으며, 조사된 개체(n)를 이용하여 임분밀도를 계산하였다. 조사된 임목들은 흉고직경 2 cm 간격으로 직경을 구분하여 두 시험지에서 최소 5본 이상의 시험목을 선목하였다. 선목 후 굴취된 시험목은 근원경, 흉고직경 및 수고를 측정하였다(Table 2). 문경의 주요 수종은 소나무(P.densiflora), 싸리(Lespedeza cyrtobotrya), 물오리나무(Alnus incana)이며, 평균 임분 밀도는 약 3,333본 ha−1, 533본 ha−1, 100본 ha−1이다. 시험지 내 소나무의 평균 근원경은 4.43 cm, 흉고직경은 3.97 cm, 수고는 372.48 cm 로 조사되었다. 봉화의 주요 수종은 소나무(P.densiflora), 아까시나무(Robinia pseudoacacia)이며, 평균 임분 밀도는 1,167본 ha−1, 1,700본 ha−1이다. 시험지 내 소나무의 평균 근원경은 7.16 cm, 흉고직경은 4.62 cm, 수고는 396.80 cm 로 조사되었다. 시험지 내 선목된 소나무 시험목은 굴취 후 근원경, 흉고직경 및 수고를 측정하였다. 문경 시험지 소나무는 평균 근원경 6.07 cm, 평균 흉고직경 3.40 cm, 평균 수고 333.44 cm이었으며, 봉화 시험지 소나무는 평균 근원경 5.92 cm, 평균 흉고직경 2.81 cm, 평균 수고 304.96 cm로, 두 지역에서 굴취한 시험목은 평균 근원경 5.98 cm, 평균 흉고직경 3.06 cm, 평균 수고 317.72 cm이다.

Table 2. Stand- and sample-level characteristics of the study sites used for developing biomass allometric equations of young Pinus densiflora.
Site Species Density (stems ha−1) RCD (cm) DBH (cm) H (cm)
Mungyeong Pinus densiflora 3333 4.43 (1.00 - 11.05) 3.97 (0.60 - 12.00) 372.48 (120.00 - 650.00)
Lespedeza cyrtobotrya 533 1.22 (0.40 - 1.59) 0.58 (0.30 - 1.00) 200.00 (180.00 - 220.00)
Alnus incana 100 5.67 (1.08 - 8.78) 8.60 (0.70 - 13.3) 526.67 (180.00 - 700.00)
Bonghwa Pinus densiflora 1167 7.16 (1.17 - 14.27) 4.62 (1.17 - 10.97) 396.80 (115.00 - 683.33)
Robinia pseudoacacia 1700 15.87 (8.70 - 26.47) 12.74 (6.13 - 23.67) 670.70 (416.67 - 916.67)
Sample trees Sample tree number (n)
Mungyeong Pinus densiflora 25 5.92 (2.19 - 9.96) 2.81 (0.20 - 5.84) 304.96 (136.00 - 530.00)
Bonghwa 18 6.07 (1.05 - 11.62) 2.90 (0.25 - 5.49) 335.44 (130.00 - 650.00)
Total 43 5.98 (1.05 - 11.62) 3.06 (0.20 - 5.84) 317.72 (130.00 - 650.00)

Notes. RCD = Root Collar Diameter (cm); DBH = Diameter at Breast Height (1.2 m above the ground) (cm); H = Tree height (cm). Values are expressed as average with the range (min-max). Stand characteristics represent the tree density and size distribution of major species within sampled plots, and sample tree characteristics indicate the mean and range of measurements used for biomass allometric equation development.

Download Excel Table

바이오매스 상대생장식 개발은 국립산림과학원 산림바이오매스 및 토양탄소 조사 분석 표준에 근거하여 진행하였다(KFRI, 2007). 소나무 어린나무는 현장에서 직접 굴취 방식으로 수집하였으며, 총 43개의 시험목을 굴취하였다. 본 연구는 흉고직경이 6 cm 미만인 수목을 대상으로 진행했기 때문에, 중장비를 사용하지 않고 인력으로 직접 삽과 호미 등을 이용하여 세근을 최대한 손상시키지 않도록 굴취를 진행하였다. 굴취된 시험목은 전체 부위를 줄기, 수피, 가지, 잎, 뿌리로 분류한 후 생중량을 측정하였고, 지퍼백으로 밀봉하여 실험실로 이동하였다. 실험실에서는 건조기를 이용하여 85°C로 7일~10일 이상 항량에 도달할 때까지 건조 후, 각 부위별 건조중량을 측정하였다. 생중량과 건중량은 모두 0.01 g 단위까지 측정하였으며, 측정된 모든 중량은 g 단위로 기록하였다. 측정된 건조중량은 줄기(Stem), 수피(Bark), 가지(Branch), 잎(Foliage), 지상부(Aboveground), 지하부(뿌리)(Belowground; Root) 및 전체(Total)로 분류하였으며, 바이오매스 상대생장식 개발에 활용하였다.

3. 바이오매스 상대생장식 개발 및 검증

바이오매스 상대생장식 개발에서 로그-선형식은 수목의 비선형적인 생장 패턴을 단순 직선 관계로 전환하여 해석을 용이하게 하고, 로그 변환을 통해 분산을 안정화하며 예측 정확도를 높일 수 있다(Parresol, 1999; Zianis and Mencuccini, 2004). 또한, 이 모델은 국제적으로 널리 활용되는 표준식(IPCC, 2006)일 뿐만 아니라, 국내 선행 연구들의 상대생장식 개발에도 적용되었다(Jeong et al., 2014; Son et al., 2014; Kang et al., 2016). 본 연구에서 바이오매스 상대생장식을 개발하는데 사용된 모델의 형태는 다음과 같다(식 1~2).

log Y = a + b log X
(1)
Y = a X b
(2)

위의 수식에서 Y는 추정하고자 하는 바이오매스(줄기, 수피, 가지, 잎, 지상부, 뿌리(지하부) 및 전체 바이오매스) (g), X는 독립변수(근원경, 흉고직경, 수고) (cm), a는 회귀식의 상수항(intercept), b는 회귀식의 기울기(slope)를 의미한다.

본 연구에서는 많은 연구에서 바이오매스 상대생장식 개발에 사용되고 있는 수목 측정 인자인 근원경, 흉고직경, 수고를 독립변수(X)로 이용하였다. 근원경, 흉고직경, 수고를 단일 변수(single variable)로 구성한 상대생장식과, 근원경과 수고 (RCD×H, RCD2×H), 흉고직경과 수고 (DBH×H, DBH2×H) 두 가지 변수(two variables)로 구성한 상대생장식을 개발하였다. 종속변수(Y)는 줄기, 수피, 가지, 잎, 지상부 바이오매스, 지하부 바이오매스(뿌리) 및 전체 바이오매스를 이용하였다. 로그 형태로 변환된 데이터의 일반 최소 제곱 회귀분석(Ordinary Least Squares; OLS)은 간편하게 바이오매스 추정이 가능하기 때문에 보편적으로 사용되는 방법이다(Zianis and Mencuccini, 2004). 그러나 본 연구의 데이터에서는 일부 모델에서 회귀분석의 주요 가정이 위배되는 현상이 확인되었다. 이에 따라 오차 구조를 고려하여 신뢰성 있는 회귀계수 추정과 모델 평가를 수행하고자 일반화 최소 제곱 회귀분석(Generalized Least Squares; GLS)을 적용하였다. 일반화 최소 제곱 회귀 분석 방법은 이분산성이나 자기상관구조를 가진 데이터 분석에 적합한 방법이다(Zuur et al., 2009). 로그 형태로 변환되어 분석된 선형 회귀식을 지수 형태로 환산할 경우, 바이오매스 예측 값에 편향(bias)이 발생할 수 있어, 이러한 편향을 확인하기 위해 Sprugel 보정계수를 제시하였다(Sprugel, 1983). 보정 계수(Correction Factor; CF)는 다음과 같이 계산되었다(식 3).

C F = e x p S E E 2 2
(3)

수식에서 SEE는 추정표준오차(Standard Error Estimate)를 의미한다.

개발된 각각의 상대생장식 성능 평가를 위해 결정계수(R2), 평균 제곱근 오차(RSME) 및 아카이케 정보 기준(AIC)을 지표로 사용하였다. 세 가지 지표는 R software의 forecast 패키지를 이용하였다(Hyndman and Khandakar, 2008). 결정계수(R2)의 경우 높은 값을, RMSE와 AIC는 낮은 값을 보이는 모델이 가장 적합한 모델이다(Conti et al., 2019; Amanuel et al., 2024). 단일변수와 결합된 두가지 변수로 구성된 바이오매스 상대생장식을 R software의 dplyr 패키지를 이용하여 순위를 분석하였다(Wickham et al., 2023)

개발된 바이오매스 상대생장식의 신뢰성과 통계적 타당성을 검증하기 위하여, 통계적 검증과 물리적 검증을 수행하였다. 통계적 검증을 위해 개발된 전체 바이오매스 상대생장식의 잔차 특성을 분석하여 모델의 편향성 및 정규성을 확인하였다. 물리적 검증은 모델 개발에 활용된 시험목 데이터의 일관성과 신뢰성을 평가하기 위해 수행되었다. 이를 위해 목재기본밀도(Wood Density; WD), 바이오매스 확장계수(Biomass Expansion Factor; BEF), 부위별 건조중량 대 생중량 비(Dry-to-fresh weight ratio; RDW/FW)을 분석하였다. 목재기본밀도(WD), 바이오매스 확장계수 (BEF), 부위별 건중량/생중량 비율(RDW/FW)은 다음과 같이 계산되었다(식 4~6).

W D = W s t e m , d r y V s t e m , g r e e n
(4)

수식에서 Wstem,dry는 줄기의 건조중량 (g), Vstem,green는 줄기직경과 높이 측정값으로부터 원통형으로 가정한 추정된 줄기 부피 (cm3)를 의미한다.

B E F = W A G B , d r y W s t e m , d r y + W b a r k , d r y
(5)

수식에서 WAGB,dry는 지상부(줄기, 수피, 가지, 잎)의 건조중량 (g), Wstem,dry는 줄기의 건조중량 (g), Wbark,dry는 수피의 건조중량 (g)을 의미한다.

R D W / F W , i = W i , d r y W i , f r e s h f o r i = s t e m , b a r k , b r a n c h , f o l i a g e , r o o t
(6)

수식에서 RDW/FW,i는 i 부위에 대한 건조중량 대 생중량 비를 의미한다.

이 과정을 통해 모델의 적합성과 통계적 안정성, 데이터의 일관성을 종합적으로 평가하였다. 바이오매스 상대생장식 개발 및 검증에 사용된 모든 데이터의 분석은 R software(version 4.1.2)를 이용하였다.

결과 및 고찰

바이오매스 상대생장식 개발 결과는 다음과 같다(Table 3, Table 4). 단일 독립변수의 경우, 모든 바이오매스 추정에서 흉고직경을 포함한 상대생장식의 평균 결정계수(R2)가 0.83으로 가장 높은 설명력을 보였으며, 특히 줄기 바이오매스의 결정계수(R2)는 0.92, RMSE는 282.85로 가장 높은 예측 정확도를 나타냈다. 반면, 근원경을 포함한 상대생장식의 평균 결정계수(R2)는 0.71로, 수피(R2 = 0.78), 지하부 바이오매스(R2 = 0.67)에서 비교적 높은 설명력을 보였으나, 흉고직경을 인자로 사용한 상대생장식의 결정계수(R2)에는 미치지 못하였다. 수고의 평균 결정계수(R2)는 0.68로 가장 낮은 설명력을 보였으며, 특히, 잎과 수피 바이오매스에서는 RMSE 와 AIC가 모두 가장 높게 나타나, 가장 낮은 순위를 차지했다. 가지 및 잎 바이오매스 추정에는 흉고직경을 인자로 다룬 상대생장식의 보정계수가 1.31, 1.26으로 높게 나타나, 해당 구성 요소의 변동성이 크고 예측 편향이 클 가능성이 있음을 확인하였다. 전체 바이오매스의 경우, 흉고직경을 인자로 다룬 상대생장식이 결정계수(R2) 0.87, AIC는 58.27, CF는 1.18로 가장 우수한 성능을 보였다.

Table 3. Biomass allometric equations and regression parameters for seven biomass components, based on a single-independent variable.
Variable (X) Biomass (Y) Regression coefficient R2 RMSE AIC Rank CF
a b
RCD Stem 8.340 2.438 0.73 538.47 53.13 3 1.08
Bark 4.522 2.176 0.78 131.04 45.15 2 1.06
Branch 7.283 2.520 0.64 619.03 72.17 2 1.13
Foliage 6.898 2.335 0.64 394.58 51.57 2 1.08
Aboveground 28.375 2.395 0.71 1569.58 39.01 2 1.05
Belowground(root) 4.623 2.438 0.67 338.39 85.37 3 1.21
Total 32.786 2.418 0.71 1881.69 30.19 2 1.04
DBH Stem 97.517 1.793 0.92 282.85 47.97 1 1.17
Bark 49.076 1.448 0.83 112.67 53.51 1 1.11
Branch 115.222 1.664 0.80 457.77 83.28 1 1.35
Foliage 96.037 1.434 0.70 359.98 85.34 1 1.26
Aboveground 373.055 1.611 0.87 1076.72 59.17 1 1.19
Belowground(root) 63.941 1.682 0.83 241.50 73.58 1 1.17
Total 441.491 1.620 0.87 1257.12 58.27 1 1.18
H Stem 0.000003 3.306 0.76 505.32 58.45 2 1.09
Bark 0.000008 2.973 0.61 172.60 57.97 3 1.09
Branch 0.000008 3.156 0.65 614.17 97.79 2 1.35
Foliage 0.000086 2.668 0.61 409.82 94.55 3 1.23
Aboveground 0.000043 3.059 0.72 1562.62 75.03 2 1.16
Belowground(root) 0.000003 3.213 0.71 313.35 93.08 2 1.31
Total 0.000046 3.079 0.72 1856.23 74.48 2 1.16

Notes. Biomass allometric equations are expressed as Y = aXb, where Y is the biomass component (stem, bark, branch, foliage, aboveground, belowground, and total biomass; g, dry weight) and X is the independent variable (RCD, DBH, or H, all in cm). Regression coefficients (a, b), the coefficient of determination (R2), root mean square error (RMSE), Akaike information criterion (AIC), ranking based on R2, RMSE, and AIC, and correction factor (CF) are presented. RCD = Root Collar Diameter; DBH = Diameter at Breast Height (1.2 m above the ground); H = Tree height (cm)

Download Excel Table
Table 4. Biomass allometric equations and regression parameters for seven biomass components, based on a combination of two-independent variables.
Variables (X) Biomass (Y) Regression coefficient R2 RMSE AIC Rank CF
a b
RCD×H Stem 0.008 1.495 0.89 348.85 16.25 2 1.03
Bark 0.009 1.333 0.85 107.81 18.81 2 1.03
Branch 0.012 1.440 0.78 486.39 72.66 4 1.16
Foliage 0.022 1.308 0.72 344.43 65.34 1 1.10
Aboveground 0.005 1.471 0.82 251.15 70.24 1 1.05
Belowground(root) 0.048 1.410 0.85 1152.87 34.46 4 1.19
Total 0.052 1.425 0.85 1365.76 28.75 2 1.05
DBH×H Stem 0.252 1.152 0.91 300.92 46.68 3 1.10
Bark 0.349 0.947 0.82 117.57 53.87 2 1.08
Branch 0.371 1.098 0.79 473.07 86.60 3 1.32
Foliage 0.780 0.926 0.68 370.78 88.62 4 1.23
Aboveground 0.160 1.136 0.83 241.69 76.23 1 1.15
Belowground(root) 1.587 1.050 0.85 1120.19 62.57 2 1.20
Total 1.808 1.057 0.86 1304.47 61.34 2 1.14
RCD2×H Stem 0.106 0.934 0.85 399.90 27.22 4 1.04
Bark 0.091 0.835 0.85 109.04 26.07 1 1.04
Branch 0.125 0.918 0.75 516.14 71.83 1 1.14
Foliage 0.169 0.841 0.71 352.59 59.67 4 1.08
Aboveground 0.063 0.926 0.78 275.17 75.13 2 1.04
Belowground(root) 0.485 0.894 0.82 1249.23 32.19 3 1.19
Total 0.538 0.902 0.82 1483.40 24.92 2 1.04
DBH2×H Stem 2.538 0.704 0.92 284.30 47.18 2 1.11
Bark 2.480 0.572 0.83 114.35 54.64 4 1.09
Branch 3.608 0.663 0.80 460.75 86.15 1 1.32
Foliage 5.153 0.563 0.69 365.35 88.47 2 1.23
Aboveground 1.750 0.681 0.84 236.62 75.71 2 1.15
Belowground(root) 13.614 0.636 0.86 1085.18 61.94 4 1.18
Total 15.756 0.640 0.87 1262.36 60.78 1 1.14

Notes. Biomass allometric equations are expressed as Y = aXb, where Y is the biomass component (stem, bark, branch, foliage, aboveground, belowground, and total biomass; g, dry weight) and X is the independent variable (RCD×H, DBH×H, RCD2×H, DBH2×H). Regression coefficients (a, b), the coefficient of determination (R2), root mean square error (RMSE), Akaike information criterion (AIC), ranking based on R2, RMSE, and AIC, and correction factor (CF) are presented. RCD = Root Collar Diameter; DBH = Diameter at Breast Height (1.2 m above the ground); H = Tree height (cm)

Download Excel Table

결합된 두 가지 변수로 개발된 상대생장식은 흉고직경과 수고를 결합한 형태(DBH×H, DBH2×H)가 근원경과 수고를 결합한 형태(RCD×H, RCD2×H)에 비해 대부분의 바이오매스 구성요소에 대해 더 높은 추정 정확도를 보였다. 특히, DBH2×H를 독립변수로 한 상대생장식은 평균 결정계수(R2)가 0.87로 가장 높았으며, 전체 바이오매스 추정시 결정계수(R2)는 0.87, RMSE는 1262.36, AIC는 60.78, 보정계수는 1.14로 모든 결합변수로 이루어진 상대생장식 중 가장 우수하였다. 또한, 줄기(R2 = 0.92), 가지(R2 = 0.89), 지상부 (R2 = 0.88) 및 지하부 바이오매스(R2 = 0.83) 추정에도 높은 설명력을 보였다. 한편, DBH×H를 독립변수로 다룬 상대생장식 또한 평균 결정계수(R2)는 0.86으로 높은 설명력을 보였으며, 수고를 단일변수로 사용했을 때보다 예측 정확도가 향상되었다. 반면, RCD×H, RCD2×H를 독립변수로 한 상대생장식은 평균 결정계수(R2)가 각각 0.85, 0.82로 다소 낮았으며, 특히 잎 바이오매스에서는 결정계수(R2)가 0.72~0.75 로 상대적으로 낮은 설명력을 보였다. 모든 모델에서 보정계수가 1.03이상으로 나타나, 편향 보정을 위한 보정계수 적용이 필요할 것으로 판단된다.

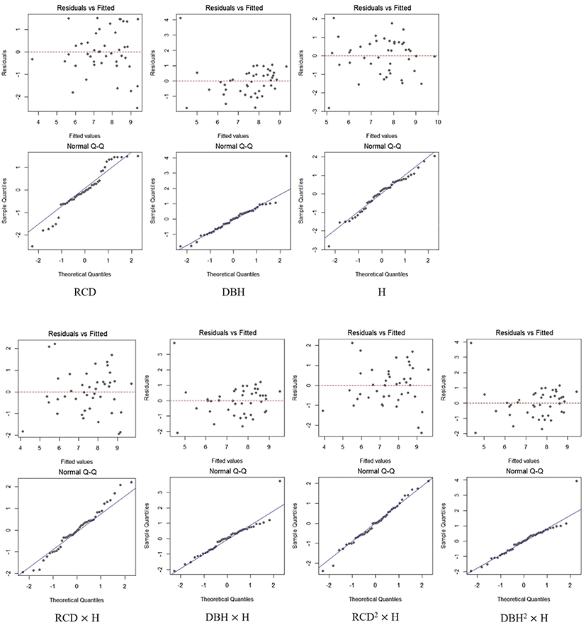
바이오매스 상대생장식에 대한 잔차 분석 결과는 다음과 같다(Figure 2). 전체 바이오매스에서 잔차(residuals)는 예측값(fitted values)을 중심으로 고르게 분포하였다. 또한, Q-Q plot에서 잔차들이 정규분포의 이론선(theoretical line)에 근접하게 분포하여 정규성(normality)을 만족하는 것을 확인하였다. 결합된 두가지 변수로 개발된 상대생장식은 단일 변수로 개발된 상대생장식에 비해 잔차의 분산이 더 일정해 모델의 안정성이 높다고 판단하였다. 특히, 근원경을 포함한 상대생장식이 흉고직경을 포함한 상대생장식보다 잔차의 분산이 일정하고 정규성이 더 높게 나타나, 상대적으로 높은 통계적 안정성을 보였다.

jksfs-114-4-403-g2
Figure 2. Residual diagnostic plots for total biomass (TGB) biomass, showing the relationship between residuals and fitted values and the Q-Q plot of GLS models.
Download Original Figure

바이오매스 상대생장식에 사용된 데이터의 신뢰성을 검증하기 위해 목재기본밀도, 바이오매스 확장계수, 부위별 건조중량 대 생중량 비를 분석하였다(Table 5). 목재기본밀도의 평균값은 0.27 ± 0.05 g/cm3, 바이오매스 확장계수는 2.23 ± 0.44로 나타났다. IPCC(2006)Pinus 종의 목재기본밀도는 0.32~0.44, 바이오매스 확장계수는 평균 1.8, 최소 0.6, 최대 2.4라고 보고하였다. 국내 선행 연구에서는 소나무의 목재기본밀도가 0.47, 바이오매스 확장계수는 1.41이라고 설명했다(Pyo et al., 2010; Son et al., 2014). 본 연구의 목재 기본밀도는 선행 연구와 비교했을 때 상대적으로 낮은 값을 보였다. 이는 선행 연구들은 임령이 20년 이상, 성숙한 임목을 대상으로 진행하였으나, 본 연구 시험목은 어리고 미성숙한 임목이었기 때문이라고 판단된다. 반면, 바이오매스 확장계수는 상대적으로 높은 경향을 보였다. 어린 임목은 줄기보다 가지와 잎의 비율이 높아 바이오매스 확장계수가 높게 나타나고, 성숙한 임목은 줄기의 비중이 커져 가지와 잎의 상대적인 비율이 감소하여 바이오매스 확장계수가 작아지는 일반적인 경향을 반영한 결과로 생각된다. 부위별 건조중량 대 생중량 비는 평균 줄기(0.45), 수피(0.51), 잎(0.48), 뿌리(0.48)로 나타났으며, 부위 간 큰 편차 없이 일정한 경향을 보여 측정값 간 일관성을 확인하였다.

Table 5. Summary statistics of wood basic density (WD), biomass expansion factor (BEF), and dry weight to fresh weight ratio by tree component.
Parameter Unit Mean ± SD Min Max
WD g/cm3 0.27 ± 0.05 0.18 0.39
BEF - 2.23 ± 0.44 1.47 3.50
Rstem - 0.45 ± 0.07 0.33 0.61
Rbark - 0.51 ± 0.08 0.37 0.63
Rbranch - 0.52 ± 0.04 0.41 0.63
Rfoliage - 0.48 ± 0.05 0.37 0.65
Rroot - 0.48 ± 0.07 0.35 0.66

Notes. WD: wood basic density (dry weight divided by volume); BEF: biomass expansion factor (total aboveground biomass divided by stem biomass). Ri: dry weight to fresh weight ratio were determined for each tree component (stem, bark, branch, foliage, root) based on dry weight (85°C, constant mass) and fresh weight measurements. All values represent mean ± standard deviation (SD) with corresponding minimum and maximum values derived from sampled P.densiflora individuals in research sites.

Download Excel Table

많은 선행 연구에서는 근원경이 어린나무 초기 생육 단계에서의 생장 특성을 더 잘 반영하는 변수로 간주되었고, 특히 지하부 바이오매스 추정 시 정확도를 높이는데 유리하다고 보고되었다(Knapp et al., 2006; Kuyah et al., 2012; Menéndez-Miguélez et al., 2023; Thippawan et al., 2023). 그러나 본 연구의 상대생장식 개발 결과에서는, 대부분의 바이오매스 구성요소(지상부 및 전체 바이오매스 포함)에 대해 흉고직경을 독립변수로 포함한 상대생장식이 근원경을 포함한 상대생장식보다 더 높은 결정계수(R2)와 더 낮은 RMSE와 AIC 값을 나타냈다. 근원경을 포함한 모델은 뿌리와 전체 바이오매스에서 잔차의 분포가 더 균일하고 정규성을 충족하여, 통계적 안정성이 높다고 판단하였다. 이러한 결과는 흉고직경이 전체 바이오매스 예측의 변수로서 우수하지만, 근원경이 초기 생장단계의 변동성을 안정적으로 반영하는 보완적인 변수로 작용할 수 있다는 것을 의미한다. 수고의 경우, 단일 변수로 사용되었을 때보다 직경과 결합된 상대생장식에서 더 높은 결정계수(R2)값을 보여, 결합된 형태의 상대생장식 개발이 더 적합하다고 판단된다(Annighöfer et al., 2022). 이는 수고가 직경 생장을 보완하여 개체 간 생장 편차를 완화시키기 때문으로 해석된다. 본 연구에서 흉고직경이 더 적합한 변수로 확인된 이유는, 수목의 초기 생장단계를 지나 충분한 줄기 생장을 이룬 상태에서 줄기 및 가지 등 지상부 기관의 생장에 더 많은 에너지를 투자하고 있는 시기이기 때문인 것으로 판단된다. 이와 같은 생장 패턴으로 인해 지상부 생장의 변동성이 높아져 평균 보정계수가 1.10 이상으로 나타났고, 특히, 잎과 가지에서는 보정계수가 1.30을 초과하는 높은 수치로 나타낸 것으로 해석할 수 있다. 따라서, 흉고직경은 지상부 생장과 밀접한 구조적 지표로 작용하며, 수고와의 결합은 모델의 추정 안정성을 강화하는 보완 인자로 활용할 수 있다.

본 연구 대상목의 부위별 바이오매스 비율은 가지(28.81%), 수피를 제외한 줄기(28.40%), 잎(17.84%), 뿌리(16.24%), 수피(8.71%) 순으로 나타났다 (Figure 3). 지상부 바이오매스가 차지하는 비율은 83.76%, 지하부 바이오매스가 차지하는 비율은 16.24%로 나타났다. Luo et al.(2012)연구에서 소나무속(Pinus)의 뿌리 대 지상부 비율은 평균 0.214, 최소 0.072, 최대 0.731이라고 보고 된 바 있으며, 본 연구의 평균값인 0.194은 이에 근접한 수준이다. 지하부 바이오매스인 뿌리는 입지환경과 굴취 시 세근 손상에 영향을 많이 받으므로 편차가 크게 나타난 것으로 판단된다. 본 연구에서 확인된 부위별 바이오매스 비율과 국내 및 국외 연구를 비교해 본 결과, 낙엽송(Larix kaempferi) 어린나무를 대상으로 한 Song et al.(2025)의 연구와는 대상 수종이 달랐음에도 비슷한 경향을 보이는 것을 확인할 수 있었다. 그러나 호주소나무(Casuarina equisetifolia) 어린나무를 대상으로 한 Xue et al.(2016)의 연구와 비교해 보았을 때, 줄기와 가지에서 본 연구와 다른 경향을 확인했다. Song et al.(2025)의 연구에서는 평균 수고가 2.4 m로 본 연구와 수고에 큰 차이가 없지만 Xue et al.(2016)의 연구에서는 평균 수고가 9.2 m, 흉고직경이 6.3 cm로 본 연구와 약 6 m, 3 cm 차이를 보여 줄기와 가지 비율의 차이가 있었다고 판단된다. 이와 같은 부위별 비율은 본 연구에서 흉고직경을 독립변수로 포함한 상대생장식이 대부분의 바이오매스 추정에서 가장 높은 결정계수(R2)를 보인 것과 관련이 높다고 판단된다. 수관부(가지와 잎)의 발달이 활발할수록 수관부 구성의 변동성이 커져, 수관부 구조를 잘 반영하는 흉고직경의 설명력을 강화하는 결과를 이끌어낸다. 실제로 수관부 바이오매스의 발달은 어린 임분과 임분 내 우점종에 해당하는 나무일수록 두드러지게 나타난다고 보고되었으며(Xu and Harrington, 1998; Tahvanainen and Forss, 2008; Konôpka et al., 2010; Zhang et al., 2019; Bebre et al., 2022), 이는 본 연구 대상지에서도 흉고직경이 수관부 발달을 반영하는 지표로써 적용했음을 보여주었다.

jksfs-114-4-403-g3
Figure 3. Comparison of biomass proportion (%) by component (stem, branch, foliage, and root) between this study and previous studies (Song et al., 2025; Xue et al., 2016). Error bars represent standard deviation (SD).
Download Original Figure

결 론

본 연구에서 개발된 폐탄광 산림복원지 소나무 어린나무 상대생장식은 기존 일반 조림지 기반의 추정식이 가지는 측정 범위의 한계(흉고직경 6 cm 이상)를 극복하고, 흉고직경 6 cm 미만 어린나무의 탄소저장량 정량화가 가능하다는 점에서 산림분야 탄소정책에 중요한 기여를 할 수 있다. 특히, 본 연구에서 개발된 상대생장식은 잔차 분석을 통해 통계적 가정을 충족하였으며, 보정계수 및 데이터 신뢰성 지표가 안정적으로 확인되어 상대생장식의 통계적 신뢰성과 타당성이 확보되었다. 이에 따라 본 연구에서 개발된 식은 복원 초기 단계의 어린나무 바이오매스 추정에 적합한 상대생장식으로 활용이 가능하다.

첫째, 국가 온실가스 인벤토리(National Inventory Report; NIR) 및 국가결정기여(NDCs) 이행 모니터링에서 산림복원 초기 단계의 탄소흡수 및 저장량을 보다 정밀하게 반영할 수 있다. 이는 산림탄소 평가체계에서 저평가되거나 누락되었던 산림복원지의 기여도를 수치적으로 제시함으로써, 복원사업의 정책적⋅경제적 가치를 제고하는 근거 자료로 활용될 수 있다.

둘째, 본 연구의 상대생장식은 폐탄광과 같이 토양 물리⋅화학성이 저하된 훼손지에서의 소나무 생장특성을 반영하기 때문에, 향후 유사한 훼손지의 산림복원 설계⋅평가에 표준모델로 적용이 가능하다. 또한, 본 연구의 결과로 흉고직경이 소나무 어린나무 바이오매스 추정에 효과적인 변수로 확인되었다. 산림복원 사후모니터링 과정에서 정확한 탄소저장량 추정을 위한 측정 인자로 활용이 가능하다고 판단된다. 이를 통해 복원 유형⋅수종별 상대생장식을 개발한다면, IPCC 등 국제기구에서 요구하는 Tier 2 이상의 산림탄소추정 보고에 부합하는 탄소저장량 산정도 가능할 것으로 판단된다.

셋째, 산림복원지의 수종별 탄소저장량 추정 정확성 제고는 산림청이 추진하는 ‘탄소흡수원 증진사업’의 성과평가 및 REDD+, 산림탄소상쇄제도와 같은 국내⋅외 탄소거래제 참여시 신뢰성 있는 근거를 제공함으로써 산림탄소정책뿐만 아니라 민간 기업의 산림복원 및 조림사업 참여를 촉진할 수 있다.

그러나 산림복원지 주요 수종 상대생장식 개발 과정에서 다음과 같은 한계와 문제점이 존재한다. 첫째, 본 연구는 표본 수집이 경상북도 문경⋅봉화의 특정 폐탄광 복원지에 한정되어 있어, 지역적⋅환경적 다양성을 충분히 반영하지 못하였다. 토양의 유형과 강수량, 미기후와 같은 환경영향의 차이가 상대생장식 계수에 영향을 줄 수 있으므로, 다양한 입지 환경 및 복원 경과 년수에 따른 변화 등 장기 모니터링을 통한 자료확보가 필요하다.

둘째, 산림복원지 소나무의 지하부 바이오매스는 지상부 바이오매스와 비교했을 때 결정계수(R2)가 상대적으로 낮거나 편향된 경우가 확인되었다. 지하부 바이오매스인 뿌리는 굴취 시 세근 손실, 입지환경에 따른 뿌리 분포 차이로 인해 오차가 많이 발생하는 부분이다. 이에 따라 향후 지하부 비파괴 측정기술 적용으로 지하부 바이오매스 추정의 검증과 정확도 향상이 필요하다고 판단된다.

셋째, 산림복원지 소나무의 가지와 잎의 보정계수가 다른 부위에 대비하여 높게 나타났다. 이는 활발히 생장하는 어린나무의 생장 패턴을 반영한 결과로 보이나, 향후 흉고직경 6 cm 이상의 산림복원지 소나무를 포함하여, 수종의 생리⋅생태적 지표와 연계한 현장 검증과 보정계수가 반영된 모델 개발이 필요하다고 판단된다.

향후 개선 방향으로는 ① 전국 주요 복원 유형별, 수종별 상대생장식 개발 및 DB구축, ② 지상부⋅지하부 바이오매스 동시 예측이 가능한 통합 모델 개발, ③ 국제표준(Tier 2, 3) 대응을 위한 산림탄소보고 매뉴얼과 연계한 활용방안 마련이 필요하다. 이를 통해 본 연구에서 제시한 소나무 어린나무 상대생장식은 폐탄광 복원지 뿐만 아니라 국내⋅외 다양한 복원사업 현장에서 산림정책 수립, 복원 효과성 평가, 민간기업의 탄소시장 참여 유도 등 다방면의 실질적 가치를 창출할 것으로 기대된다.

감사의 글

산림 복원사업지 자료 제공 및 현장 조사에 협조해주신 남부지방산림청 영주국유림관리소 관계자분들께 감사드립니다. 본 연구는 국립산림과학원 [산림훼손지 복원을 통한 탄소저장⋅흡수량 추정 연구] 지원으로 수행되었습니다(과제번호: FE0100-2022-01-2025).

References

1.

Amanuel, W., Tadesse, C., Molla, M., Getinet, D. and Mekonnen, Z. (2024). Allometric equation for estimating aboveground biomass of Acacia-Commiphora forest, southern Ethiopia. Journal of Ecology and Environment, 48(0)(Advance online publication).

2.

Annighöfer, P. et al. (2022). Examination of aboveground attributes to predict belowground biomass of young trees. Forest Ecology and Management, 505, 119942.

3.

Bebre, I., Marques, I. and Annighöfer, P. (2022). Biomass Allocation and Leaf Morphology of Saplings Grown under Various Conditions of Light Availability and Competition Types. Plants (Basel), 11(3).

4.

Chodak, M., Niklińska, M. and Śliwińska, E. (2011). Chemical and microbial properties of sandy mine soils afforested with Scots pine and silver birch.

5.

Conti, G. et al. (2019). Developing allometric models to predict the individual aboveground biomass of shrubs worldwide. Global Ecology and Biogeography, 28(7), 961-975.

6.

Gang, J.H., Kim, H.S. and Oh, S.B. (1997). Geological Structure of Precambrian to Paleozoic metasedimentary rocks in the Janggunbong area, Korea - Crustal evolution and environmental geology of the central part of the North Sobaegsan Massif, Korea -. The Journal of the Petrological Society of Korea, 6(3): 224-259.

7.

Giraldo-Salazar, J.M., Giraldo, J.A., Mendoza-Páez, J.S., Sierra, J.C., Rueda, J.A. and Osorio-Vélez, L.F. (2025). Allometric equations to quantify aboveground biomass in mixed-species plantations with restoration purposes in the tropical Andes. Journal of Forestry Research, 36(1): 44.

8.

Government of the Republic of Korea. (2020). 2050 Carbon neutral strategy of the Republic of Korea: Towards a sustainable and green society. Government of the Republic of Korea.

9.

Han, S.H., Lee, S.J., Chang, H., Kim, S.J., Kim, R., Jeon, E.C. and Son, Y.H. (2017). Priority for Developing Emission Factors and Quantitative Assessment in the Forestry Sector. Journal of Climate Change Research 8(3): 239-245.

10.

Hyndman, R.J. and Khandakar, Y. (2008). Automatic time series forecasting: the forecast package for R. Journal of Statistical Software, 27: 1-22.

11.

IPCC (Intergovernmental Panel on Climate Change). (2006). 2006 IPCC Guidelines for National Greenhouse Gas Inventories, Volume 4: Agriculture, Forestry and Other Land Use.

12.

Jeong, H.M., Kim, H.R., Cho, K.T., Lee, S.H., Han, Y.S., and You, Y.H. (2014). Aboveground biomass estimation of Quercus glauca in evergreen forest, Kotzawal wetland, Cheju Island, Korea. Journal of Wetlands Research 16(2): 245-250.

13.

Kang, M.S., Jang, K.S., Son, Y.M., Kim, R.H., Park, I.H. and Lee, K.H. (2016). Allometric equations and biomass expansion of yellow poplar (Liriodendron tulipifera) in southern Korea. Journal of Korean Society of Forest Science 105(4): 463-471.

14.

KFRI (Korea Forest Research Institute) (2007). Survey manual for forest biomass and soil carbon.

15.

KFS (Korea Forest Service). (2020) Notice of Korea Native Plant and Natural Material Provisions for Forest Restoration. Creation and Management of Forest Resources Act.

16.

KFS (Korea Forest Service). (2025). Forest Geospatial Information System (FGIS). https://www.forest.go.kr/newkfsweb/kfs/idx/SubIndex.do?orgId=fgis&mn=KFS_03_08_01

17.

KIGAM (Korea Institute of Geoscience and Mineral Resources). (1963). Samgeun-ri Geological Survey Explanation Manual. Korea Institute of Geoscience and Mineral Resources. https://data.kigam.re.kr/data/RP-26028

18.

Kim, E.-S., Jung, J.B. and Park, S. (2024). Analysis of Changes in Pine Forests According to Natural Forest Dynamics Using Time-series NFI Data. Journal of Korean Society of Forest Science 113(1): 40-50.

19.

Kim, H.-J. and Lee, S.-H. (2017). Estimating carbon storage and CO2 absorption by developing allometric equations for Quercus acuta in South Korea. Forest Science and Technology 13(2): 55-60.

20.

Knapp, B.O., Wang, G.G., Van Lear, D.H. and Walker, J.L. (2006). Predicting Root Biomass of Burned and Unburned White Oak Advance Reproduction from Diameter and Height. Southern Journal of Applied Forestry 30(1): 40-45.

21.

Konôpka, B., Pajtík, J., Moravčík, M. and Lukac, M. (2010). Biomass partitioning and growth efficiency in four naturally regenerated forest tree species. Basic and Applied Ecology 11(3): 234-243.

22.

Kuyah, S., Dietz, J., Muthuri, C., Jamnadass, R., Mwangi, P., Coe, R. and Neufeldt, H. (2012). Allometric equations for estimating biomass in agricultural landscapes: II. Belowground biomass. Agriculture. Ecosystems & Environment 158: 225-234.

23.

Lee, J.-W., Kim, T.-W., Park, J.-H., Han, Y.-S., Lee, S.-H., Hur, T. and Lim, C.-Y. (2024). The Floristic Inventory and Distribution Characteristics of Vascular Plants in the Forest Restoration Post-monitoring Site. Korean Journal of Plant Resources 37(5): 475-526.

24.

Luo, Y., Wang, X., Zhang, X., Booth, T. H. and Lu, F. (2012). Root: shoot ratios across China’s forests: Forest type and climatic effects. Forest Ecology and Management 269: 19-25.

25.

Menéndez-Miguélez, M., Álvarez-Álvarez, P., Pardos, M., Madrigal, G., Ruiz-Peinado, R., López-Senespleda, E., Del Río, M. and Calama, R. (2023). Development of tools to estimate the contribution of young sweet chestnut plantations to climate-change mitigation. Forest Ecology and Management 530: 120761.

26.

Moon, G.H., Moon, N.H., Yim, J.S. and Kang, J.T. (2020). Methodological Consideration for Estimating Growing Stock of Young Forests based on Early Growth Characteristics of Standing Trees in Korea [Methodological Consideration for Estimating Growing Stock of Young Forests based on Early Growth Characteristics of Standing Trees in Korea]. Journal of Korean Society of Forest Science 109(3): 300-312.

27.

Mungyeongsi. (2022). history of the coal industry. https://www.gbmg.go.kr/tour/contents.do?mId=0108020801

28.

Oumasst, A., Tiouidji, F.E., Tabi, S., Zahidi, A., El Mousadik, A., El Finti, A., Aitlhaj, A. and Hallam, J. (2024). Development of allometric equations to determine the biomass of plant components and the total storage of carbon dioxide in young Mediterranean argan trees. Sustainability 16(11): 4592.

29.

Parresol, B.R. (1999). Assessing Tree and Stand Biomass: A Review with Examples and Critical Comparisons. Forest Science 45(4): 573-593.

30.

Pati, P.K., Kaushik, P., Khan, M. and Khare, P. (2022). Allometric equations for biomass and carbon stock estimation of small diameter woody species from tropical dry deciduous forests: Support to REDD+. Trees, Forests and People 9: 100289.

31.

Puc-Kauil, R., Ángeles-Pérez, G., Valdez-Lazalde, J.R., Reyes-Hernández, V.J., Dupuy-Rada, J.M., Schneider, L.C., Pérez-Rodríguez, P. and García-Cuevas, X. (2020). Allometric equations to estimate above-ground biomass of small-diameter mixed tree species in secondary tropical forests. Iforest - Biogeosciences and Forestry 13: 165-174.

32.

Pyo, J.-K., Son, Y.-M., Lee, K.-H., Kim, R.-H., Kim, Y.-H. and Lee, Y.-J. (2010). Estimating the uncertainty and validation of basic wood density for Pinus densiflora in Korea. Journal of Korean Forestry Society 99(6).

33.

Sebrala, H., Abich, A., Negash, M., Asrat, Z. and Lojka, B. (2022). Tree allometric equations for estimating biomass and volume of Ethiopian forests and establishing a database. Trees, Forests and People 9: 100314.

34.

Sheoran, V., Sheoran, A. and Poonia, P. (2010). Soil reclamation of abandoned mine land by revegetation: a review. International Journal of Soil, Sediment and Water, 3(2): 13.

35.

Son, Y.M., Kim, R.H., Lee, K.H., Pyo, J.K., Kim, S.W., Hwang, J.S., Lee, S.J. and Park, H. (2014). Carbon emission factors and biomass allometric equations by species in Korea (Korea Forest Research Institute Report, Issue.

36.

Son, Y.M. (2015). Preparation of national forest greenhouse gas statistics using carbon emission factors (KFRI Forest Policy Issue No. 47). Korea Forest Research Institute.

37.

Song, K.H., Park, M.W., Lim, S.W., Lee, S.T., Chung, S.H. and Noh, N.J. (2025). Developing Woody Biomass Allometric Equations for Estimating Carbon Stocks in Early-Stage Larix kaempferi Plantations in Pocheon Region. Journal of Forest and Environmental Science, 1-7.

38.

Sprugel, D. (1983). Correcting for bias in log-transformed allometric equations. Ecology 64: 209-210.

39.

Tahvanainen, T. and Forss, E. (2008). Individual tree models for the crown biomass distribution of Scots pine, Norway spruce and birch in Finland. Forest Ecology and Management 255(3-4): 455-467.

40.

Thippawan, S., Chowtiwuttakorn, K., Pongpattananurak, N. and Kraichak, E. (2023). Allometric models to estimate the biomass of tree seedlings from dry Evergreen Forest in Thailand. Forests 14(4): 725.

41.

UNFCCC (United Nations Framework Convention on Climate Change). (2021). Nationally Determined Contribution (NDC). https://unfccc.int/sites/default/files/NDC/2022-06/NDC%202020%20of%20Lao%20PDR%20%28English%29%2C%2009%20April%2021.pdf

42.

Wickham, H., François, R., Henry, L., Müller, K. and Vaughan, D. (2023). dplyr: A grammar of data manipulation (R package version 1.1.4). https://dplyr.tidyverse.org

43.

Xu, M. and Harrington, T. B. (1998). Foliage biomass distribution of loblolly pine as affected by tree dominance, crown size, and stand characteristics. Canadian Journal of Forest Research 28(6): 887-892.

44.

Xue, Y., Yang, Z., Wang, X., Lin, Z., Li, D. and Su, S. (2016). Tree biomass allocation and its model Additivity for Casuarina equisetifolia in a tropical forest of Hainan Island, China. PloS One 11(3): e0151858.

45.

Zhang, H., Wang, K., Zeng, Z., Du, H., Zou, Z., Xu, Y. and Zeng, F. (2019). Large-scale patterns in forest growth rates are mainly driven by climatic variables and stand characteristics. Forest Ecology and Management 435: 120-127.

46.

Zhang, J., Zhang, Y., Wang, X., He, T., Xia, H., Zhang, K. and Zhang, Q. (2024). National forest restoration projects in China: Cost-efficiency, and trade-off between carbon sequestration and water consumption. Earth’s Future 12(12): e2024EF004976.

47.

Zianis, D. and Mencuccini, M. (2004). On simplifying allometric analyses of forest biomass. Forest Ecology and Management 187(2-3): 311-332.

48.

Zuur, A.F., Ieno, E.N., Walker, N.J., Saveliev, A.A. and Smith, G.M. (2009). Mixed effects models and extensions in ecology with R (Vol. 574). Springer.