Article
산림작업을 위한 계류식 원형 헬륨기구 기반 Wi-Fi 통신망 시스템의 현장 적용 가능성 평가
김균형
1, 오재헌
1,*
, 이현승
1, 주홍식
1, 문호성
1, 신범수
2,3
Field Applicability Assessment of a Wi-Fi System Utilizing a Tethered Helium Balloon for Forest Operations
Gyun-Hyung Kim
1, Jae-Heun Oh
1,*
, Hyeon-Seung Lee
1, Hong-Sik Ju
1, Ho-Seong Mun
1, Beom-Soo Shin
2,3
1Forest Technology and Management Research Center, National Institute of Forest Science, Pocheon 11187, Korea
2Department of Biosystems Engineering, Kangwon National University, Chuncheon 24341, Korea
3Interdisciplinary Program in Smart Agriculture, Kangwon National University, Chuncheon 24341, Korea
© Copyright 2025 Korean Society of Forest Science. This is an Open-Access article distributed under the terms of the
Creative Commons Attribution Non-Commercial License (http://creativecommons.org/licenses/by-nc/4.0/) which permits
unrestricted non-commercial use, distribution, and reproduction in any
medium, provided the original work is properly cited.
Received: Jun 16, 2025; Revised: Sep 01, 2025; Accepted: Sep 17, 2025
Published Online: Sep 30, 2025
요 약
목재수확 작업을 수행할 때, 오퍼레이터는 고사목 또는 서로 엉켜있는 나무들로부터 운전석 충돌 가능성과 예측 불가능한 상황이 많아 집중도와 긴장도가 매우 높은 환경에 노출될 수 있으며, 경사지나 불안정한 지형에서 작업 시 기계의 전도·전복으로 인한 인명피해가 발생할 위험도 있다. 이와 같은 문제점은 임업기계에 원격제어 기술을 접목하여 해결할 수 있을 것으로 사료되며, 이를 위해 원격제어를 안정적으로 수행할 수 있는 무선 통신망이 필요할 것으로 판단하였다. 따라서 무선 통신망 구축을 위해 계류식 원형 헬륨기구 기반의 Wi-Fi 통신망 시스템을 고려하였으며, 본 연구는 고려된 시스템이 목재수확 현장에서 임업기계의 원격제어를 위해 안정적인 Wi-Fi 통신망을 제공할 수 있는지 검증하기 위해 수행되었다. 검증은 GNSS, IMU 그리고 광릉 기상 관측소 데이터를 활용한 풍속별 원형 헬륨기구 자세 및 위치 변화 분석과 임의로 선정한 목재수확 대상지 내에서의 Wi-Fi RSSI(Received Signal Strength Indicator) 분석을 통해 수행되었다. 이 시스템은 1.2 m/s 미만의 풍속에서 약 8.2 ha의 원격제어를 위한 안정적인 Wi-Fi 통신망 구축이 가능할 수 있을 것으로 판단된다. 그러나 1.2 m/s 이상의 풍속에서 원격제어를 위해 시스템을 운용할 시 바람에 저항이 강한 다양한 종류의 헬륨기구를 적용하거나 헬륨기구의 자세를 제어할 수 있는 계류 기술 등 추가적인 연구가 필요할 것으로 판단된다.
Abstract
During timber harvesting, operators face highly demanding and tense working conditions due to risks such as cab collisions with dead trees or entangled stems and frequent unpredictable events. On steep slopes or unstable terrain, there is also a considerable risk of machine overturning and personal injury. These challenges can be mitigated by integrating remote-control technology into forestry machinery; however, reliable wireless communication is essential for stable teleoperation. To address this requirement, a Wi-Fi system supported by a tethered helium balloon was proposed for establishing a communication network. This study assessed whether the system can provide stable Wi-Fi coverage for teleoperation of forestry machinery during timber harvesting. Verification involved analyzing the balloon’s attitude and positional changes under varying wind speeds using global navigation satellite system and inertial measurement unit data, combined with information from the Gwangneung Weather Station, as well as evaluating Wi-Fi received signal strength indicator values at a selected harvesting site. The results indicate that the system can provide stable Wi-Fi coverage of approximately 8.2 ha for teleoperation under wind speeds below 1.2 m/s. At wind speeds above this threshold, further research is required, including testing alternative balloon designs with greater wind resistance or implementing tethering technologies that stabilize balloon orientation.
Keywords: Wi-Fi RSSI; tethered balloon; teleoperation; Wi-Fi coverage; forestry machinery
서 론
목재수확 작업은 작업강도가 높고 위험하기 때문에 임업기계를 사용하여 작업을 수행하는 것이 효과적이다(Cadei et al., 2020, Bilici et al., 2019). 그러나 임업기계를 활용하여 목재수확 작업을 수행하는 오퍼레이터들은 고사목 또는 서로 엉켜있는 나무들로부터 운전석 충돌 가능성과 예측 불가능한 상황이 많아 집중도와 긴장도가 매우 높은 환경에 노출될 수 있으며, 장시간 노출 시 작업 도중 안전사고 발생이 우려될 수 있다(Bilici and Akay, 2015). 또한 경사지에서 목재수확 작업이 수행될 시 기계의 전도·전복 사고도 발생할 우려가 있다(Marzio et al., 2025). 이를 위해 국내에서는 오퍼레이터가 목재수확 현장에서 안전하게 작업을 수행할 수 있도록 임업기계에 원격제어 기술을 접목한 연구가 지속적으로 수행되어 왔다(Kim et al., 2021; National Institute of Forest Science, 2022). 그러나 선행연구로 개발된 임업기계 원격제어 시스템은 원격조종스테이션과 무인베이스머신에 Wi-Fi CPE(Customer Premises Equipment)를 부착하여 지상에서 1대1로 통신하는 구조이며, 이러한 구조는 나무 또는 언덕으로 인한 안정적인 LOS(Line of Sight) 확보가 어려워 통신망 구축의 한계가 존재하였다. 이에 Kim et al.(2024)은 원형 헬륨기구를 활용하여 다수의 Wi-Fi CPE를 공중으로 띄워 공중에서 지상으로 Wi-Fi 통신망을 구축할 수 있는 시스템을 개발하였으며, 이를 통해 지상 기반의 Wi-Fi 통신 시스템에서 발생한 한계점을 최소화하였다. 그러나 Kim et al.(2024)의 연구에서 개발한 Wi-Fi 통신망 시스템을 목재수확 현장에서 임업기계의 원격제어를 위해 적용하려면 바람에 대한 Wi-Fi 통신망의 안정성을 검증하는 추가적인 연구가 필요할 것으로 판단된다. 국외에서는 복잡한 풍동 환경에서 헬륨기구 기반 시스템의 자세를 안정적으로 유지하고 운용할 수 있는 기술 개발 연구가 수행되었으며(Pang et al., 2024), 강풍이나 돌풍이 발생하는 환경에서 헬륨기구의 위치 변화를 실시간으로 예측할 수 있는 모델 개발 연구도 수행되었다(Lai et al., 2024). 이처럼 국외에서는 바람에 대한 헬륨기구의 자세 및 위치 변화와 관련된 연구가 지속적으로 수행되고 있다. 이를 통해 헬륨기구를 활용한 Wi-Fi 통신망 시스템도 바람에 의해 헬륨기구의 자세 및 위치가 변하면 시스템을 통해 생성된 Wi-Fi 통신망의 안정성도 영향을 받을 수 있을 것으로 판단하였다. 따라서 본 연구에서는 바람에 대한 헬륨기구의 자세 및 위치 변화를 분석하여 원형 헬륨기구 기반의 Wi-Fi 통신망 시스템을 안정적으로 운용할 수 있는 풍속을 규명하였다. 그리고 규명된 풍속 내에서 이 시스템을 통해 생성된 Wi-Fi 통신망이 목재수확 대상지로 가정한 지역을 안정적으로 커버하고 임업기계의 원격제어가 가능한 통신상태를 유지하는지 분석하여, 현장 적용 가능성에 대한 검증을 수행하였다.
재료 및 방법
1. 계류식 원형 헬륨기구 기반 Wi-Fi 통신망 시스템 개요
Figure 1은 본 연구를 위해 선정한 계류식 원형 헬륨기구 기반 Wi-Fi 시스템이다. 이 시스템은 트레일러 타입의 헬륨기구 비행장, 원형 헬륨기구, 5.8GHz Wi-Fi CPE, 계측용 지그, GNSS(Global Navigation Satellite System) 등으로 구성되어 있다. 계측용 지그에 Wi-Fi CPE를 총 9대 배열하여 공중에서 지상으로 Wi-Fi 통신망을 구축할 수 있게 만들어졌으며, 9대 모두 동일한 SSID가 생성될 수 있도록 설정되었다. 또한 계측용 지그 안에는 데이터 수집 장치, 관성 측정 장치, 고도센서, 데이터 무선전송 장치 등을 포함하고 있으며 헬륨기구의 자세 및 고도, 위·경도 데이터를 1초마다 데이터 수집용 랩탑으로 전송될 수 있게 구성되어 있다(Figure 2). 계류식 원형 헬륨기구 기반 Wi-Fi 시스템을 구성하는 주요 제원은 Table 1과 같다.
Table 1.
Main specifications of the Wi-Fi system with tethered balloon.
|
Components of the system |
Specification |
|
Helium balloon |
Diameter(mm) |
4200 |
|
Volume(m3) |
38 |
|
Weight(kg) |
13 |
|
Maximum payload(kg) |
42 |
|
Material |
Teflon polyurethane |
|
Wi-Fi CPE |
Output power(mW) |
200 |
|
Transmission distance(km) |
1 |
|
Operating current(mA) |
500 |
|
Weight(kg) |
0.15 |
|
Bandwidth(GHz) |
5.8 |
|
Beam angle(deg) |
azimuth : 60, vertical : 60 |
|
Size(mm) |
160 × 95 × 29 |
|
IP rating |
65 |
|
GNSS module |
Receiver type |
Multi-band GNSS receiver |
|
Input voltage(V) |
2.7 to 3.6 |
|
Operating current(mA) |
68 |
|
Velocity accuracy(m/s) |
0.05 |
|
Horizontal position accuracy(m) |
RTK : 0.01 |
|
Vertical position accuracy(m) |
RTK : 0.01 |
|
IMU |
Model |
WT901C |
|
Input voltage(V) |
5 to 36 |
|
Operating current(mA) |
6.7 |
|
Angle range(°) |
X, Z: ±180, Y: ±90 |
|
Angle accuracy(°) |
X, Y: 0.05, Z: 1 |
Download Excel Table
2. 임업기계 원격제어를 위한 Wi-Fi 통신 가능 면적 산출 방법
본 연구에서는 고려된 시스템을 활용하여 공중에서 지상으로 형성되는 Wi-Fi 통신망의 면적을 Fusion 360(Version 2.0.21550, Autodesk, USA)과 AutoCAD(Version T.53.0.0, Autodesk, USA)를 이용해 분석하였다. 시스템의 설치 고도는 100 m로 설정하였으며, 이는 선행연구에서 공중 플랫폼을 활용한 무선통신 시스템의 설치 높이에 따른 통신 성능을 평가한 결과, 약 80 m 이상 100 m 이하 높이에서 무선통신 링크 품질이 우수하다는 근거에 따른 것이다(Teixeira et al., 2020). 지상에 투영되는 Wi-Fi 면적 안에서 임업기계의 원격제어가 가능한 통신 가능 면적을 이론적으로 산출하기 위해 LOS 거리에 대한 수신감도 측정을 수행하였다. Wi-Fi CPE와 Wi-Fi 수신기 사이의 LOS 거리가 확보되는 개방된 공간에서 시험을 수행하였으며[Figure 3(a)], Wi-Fi CPE와 Wi-Fi 수신기를 같은 1.7 m 높이로 유지하면서 Figure 3(b)와 같이 개방된 공간에서 230 m를 이동하였다. 수신기에서는 실시간으로 Wi-Fi 수신감도가 측정되며, Turbo roaming analyzer (Version 2.0, MOXA, Taiwan)를 통해 측정된 데이터가 저장된다. 측정 데이터 기반으로 LOS 거리에 대한 Wi-Fi 수신감도를 분석하여, 임업기계의 원격제어가 가능한 LOS 거리를 확인하였다. 그리고 확인된 LOS 거리를 Figure 4와 같이 피타고라스 정리를 통해 임업기계의 원격제어가 수행될 수 있는 Wi-Fi 통신망 면적을 산출하였다.
Figure 3.
RSSI measurement test for LOS distance; (a) Test site view for measurements, (b) Total LOS distance at the test site.
Download Original Figure
Figure 4.
Method for calculating the theoretical Wi-Fi coverage of the Wi-Fi system with tethered balloon.
Download Original Figure
3. 바람에 의한 헬륨기구의 자세 변화 분석 방법
임업기계의 원격제어가 가능한 Wi-Fi 통신망이 안정적으로 유지될 수 있는 허용 가능한 풍속을 구하기 위해 IMU 데이터와 경기도 포천시 소흘읍 직동리 642-9, 37°45 ′42.1884 ″N, 127°10 ′10.9394 ″E에 설치된 광릉 기상 관측소에서 제공하는 1분 평균 풍속 데이터를 활용하였다. 사용된 IMU는 헬륨기구가 기울어진 자세를 측정할 수 있는 센서로 Roll, Pitch, Yaw의 각도 데이터를 통해 실시간으로 계측이 가능하다(Figure 5). 본 연구에서 활용한 원형 헬륨기구는 3선 계류식으로 헬륨기구의 자전을 방지한다. 따라서 Yaw 데이터는 Wi-Fi 통신망의 변화에 영향을 주지 않는 요인으로 판단되어 제외하였다. IMU의 설치는 Roll 축은 계측용 지그의 정면부, Pitch 축은 지그의 측면부, Yaw 축은 지그의 상단부를 향하게 설치하고, Fusion 360을 활용하여 Wi-Fi 통신망이 안정적으로 유지되기 위해 허용될 수 있는 Roll, Pitch의 최대값을 확인하였다.
4. 바람에 의한 헬륨기구의 공간적 위치 변화 분석 방법
Figure 4를 통해 산출한 Wi-Fi 통신망 면적과 원형 헬륨기구에 부착된 GNSS의 좌표 데이터를 ArcGIS(Version10.8.1, ESRI, USA)에 적용하여 임업기계의 원격제어가 가능한 Wi-Fi 통신망이 가상으로 설정한 목재수확 대상지를 안정적으로 커버하는지 확인하였다. 또한 Figure 7의 목재수확 지역으로 가정한 구역(노란색)안의 37°45 ′21.1104 ″N, 127°10 ′6.1824 ″E 위치에 Wi-Fi 수신기를 설치하고 RSSI의 변화량도 동시에 계측하였다. 취득한 GNSS 좌표를 통해 원형 헬륨기구의 설치 지점으로부터 이동한 거리를 산출하고, 풍속 데이터를 적용하여 풍속별 원형 헬륨기구가 기준점으로부터 이동한 거리를 분석하였다.
5. 작업 시나리오 설정 및 시험 방법
시험은 국립산림과학원 산림기술경영연구소의 37°45 ′24.4944 ″N, 127°10 ′10.5441 ″E에서 수행되었으며, 드론(Mavic2 Pro, DJI, China)을 통해 항공 사진을 취득한 후 Pix4Dmapper(Version 4.5.6, Pix4D, Switzerland)를 활용하여 Digital Surface Model(DSM) 생성 및 정사영상을 구현하였다(Figure 6). 그리고 ArcGIS를 활용하여 계류식 원형 헬륨기구 기반 Wi-Fi 시스템의 설치 위치를 선정하고, 100 m 높이로 띄웠을 때 확보할 수 있는 가시권 영역을 확인하였다. 확보된 가시권 영역 중 임의의 지역을 목재수확 현장으로 선정하고, 원격으로 작업을 진행하는 상황으로 가정하였다(Figure 7). 시나리오 설정 후 Figure 7의 선정한 위치(파란색)에 실제 계류식 원형 헬륨기구 기반 Wi-Fi 시스템을 설치하고 분석에 필요한 데이터를 1초 주기로 취득하였으며, 2024년 12월 4일, 12일, 26일 총 3일 반복 시험을 수행하였다.
Figure 6.
Digital surface model(DSM) and orthophoto generated using aerial photography; (a) Generated DSM, (b) Generated orthophoto.
Download Original Figure
Figure 7.
Scenario setup using ArcGIS; (Red) Non line of sight(NLOS) area, (Blue) Installation location of the Wi-Fi system with tethered balloon, (Yellow) Designated timber harvesting area.
Download Original Figure
결과 및 고찰
1. 임업기계 원격제어를 위한 Wi-Fi 통신 가능 면적 산출 결과
Figure 8은 LOS 거리에 대한 수신감도 분석 결과이다. LOS 거리가 증가함에 따라 RSSI는 감소하는 경향이 나타났으며, LOS 거리 190 m에서 −69 dBm이 계측되었다. Kim et al.(2024)의 연구에서는 본 연구에서 고려된 Wi-Fi 통신망 시스템의 통신 지연시간을 계측하여 성능평가를 수행했으며, −69 dBm에서 200 msec 이하의 원격제어 지연시간이 발생함을 제시하였다. 또한 Brunnström et al.(2019)의 연구에서는 모니터 화면을 통해 원격제어를 수행할 때 200 msec 초과의 지연시간이 발생하면 원목 적재 수행 능력에 부정적인 영향을 미치는 결과를 제시하였다. 따라서 두 선행연구를 통해 임업기계 원격제어에 활용될 수 있는 최소 RSSI는 −69 dBm일 것으로 판단된다. 본 연구에서 고려된 시스템을 임내에서 이용한다면 LOS 거리 190 m까지 임업기계를 원격제어 할 수 있을 것으로 판단된다. 또한 Figure 4의 방법을 통해 원격제어가 가능한 Wi-Fi 통신 면적을 이론적으로 산출하면 약 8.2 ha의 면적을 커버할 수 있을 것으로 사료된다.
Figure 9(a)는 본 연구에서 고려한 시스템을 100 m 높이로 설치 후 공중에서 지상으로 투영되는 Wi-Fi 통신망 면적을 검은색 실선으로 시각화한 모습이며, Figure 9(b)는 생성된 Wi-Fi 통신망 면적 중 임업기계 원격제어를 위해 활용될 수 있는 약 8.2 ha 면적을 청색으로 시각화한 모습이다. 고려한 시스템을 통해 생성되는 순수 Wi-Fi 면적 대비 실제 원격제어를 위해 활용될 수 있는 면적은 약 32배 더 작은 것으로 분석되었으며, 이는 원격제어를 위해 활용될 수 있는 최소 RSSI로 인해 면적이 줄어든 것으로 판단된다. 또한 Figure 9(a)는 임내에서 바람이 불지 않는 이상적인 조건에서의 면적 형상이며, 바람이 불어 헬륨기구가 흔들리면서 면적의 형상이 달라지면 Figure 9(b)의 원격제어가 가능한 면적도 영향을 받을 수 있을 것으로 판단된다. 따라서 Figure 9(b)의 면적을 안정적으로 유지할 수 있는 허용 가능한 풍속을 헬륨기구의 자세 분석을 통해 규명하는 것이 필요할 것으로 사료된다.
Figure 9.
Projected shape of the Wi-Fi coverage area on the ground from a height of 100 m under windless conditions; (a) Projected Wi-Fi coverage area on the ground, (b) Blue indicates the Wi-Fi coverage area where teleoperation of forestry machinery is possible.
Download Original Figure
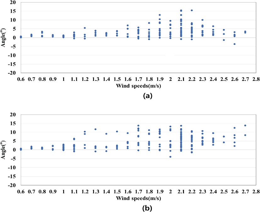
2. 바람에 의한 헬륨기구 자세 변화 분석
Figure 10(a)는 풍속별 헬륨기구의 Roll 방향 자세 변화 분석 결과이며, Figure 10(b)는 풍속별 헬륨기구의 Pitch 방향 자세 변화 분석 결과이다. 풍속이 증가함에 따라 헬륨기구의 Roll, Pitch 방향 자세 변화 크기가 증가하는 경향이 나타났으며, Pitch 방향의 경우 1.2 m/s의 풍속에서 11° 까지 기울어지는 모습이 나타났다.
Figure 10.
Analysis results of the posture inclination of the Wi-Fi system with the tethered balloon by different wind speeds; (a) Variation in roll with respect to wind speeds, (b) Variation in pitch with respect to wind speeds.
Download Original Figure
Figure 11(a)는 헬륨기구가 Roll 방향으로 11° 기울어졌을 때, Figure 11(b) 헬륨기구가 Pitch 방향으로 11° 기울어졌을 때 지상에 투영되는 Wi-Fi 통신망 면적(검은색 실선), 원격제어가 가능한 면적(청색), 원격제어가 불가능한 면적(빨간색)을 시각화한 모습이다. Roll과 Pitch 방향으로 11° 이상 헬륨기구가 기울어졌을 때 원격제어가 불가능한 빨간색 면적이 생성되는 모습이 나타났다. 이는 헬륨기구가 기울어지면서 지상에 투영되는 Wi-Fi 통신망 면적에 변화가 발생하였고, 이 변화로 인해 원격제어가 가능한 면적이 Wi-Fi 통신망 면적을 이탈하면서 나타난 것으로 판단된다. 따라서 Figure 10의 결과를 미루어볼 때, 본 연구에서 고려된 Wi-Fi 통신망 시스템은 1.2 m/s 미만의 풍속에서 안정적으로 원격제어가 가능한 통신 면적을 유지할 수 있을 것으로 판단된다.
Figure 11.
Wi-Fi coverage areas under balloon tilt induced by wind. The solid line represents the projected Wi-Fi coverage area on the ground. The blue indicates the area where teleoperation is feasible, while the red indicates the area where teleoperation is not feasible; (a) Wi-Fi coverage area at Roll 11°, Pitch 11°, (b) Wi-Fi coverage area at Roll -11°, Pitch 11°.
Download Original Figure
1.2 m/s 미만의 풍속은 WMO(World Meteorological Organization)에서 제시한 보퍼트 풍력 계급표(Beaufort wind force scale)에 따르면, 1등급의 실바람 단계로 연기가 흔들리는 모습이 보이는 정도의 약한 바람이다(Table 2). 그러나 국내 산업안전보건기준에 관한 규칙에 따르면 순간 풍속 10 m/s 이하까지 작업을 수행할 수 있으며, 임내에서도 순간 풍속 10 m/s까지 바람이 발생할 수 있을 것으로 판단된다. 따라서 고려된 Wi-Fi 통신망 시스템을 목재수확 현장에서 운용하려면, 더 강한 풍속에서도 헬륨기구의 Roll, Pitch 자세가 ±10° 이하를 유지할 수 있는 자세 제어 기술 연구가 필요할 것으로 판단된다.
Table 2.
Beaufort wind force scale.
|
Scale |
Name |
Wind speed(m/s) |
Land conditions |
|
0 |
Calm |
0.0–0.2 |
Smoke rises vertically |
|
1 |
Light Air |
0.3–1.5 |
Smoke drift shows wind direction |
|
2 |
Light Breeze |
1.6–3.3 |
Wind felt on face |
|
3 |
Gentle Breeze |
3.4–5.4 |
Leaves and small twigs in constant motion |
|
4 |
Moderate Breeze |
5.5–7.9 |
Dust and loose paper raised small branches move |
|
5 |
Fresh Breeze |
8.0–10.7 |
Small trees in leaf begin to sway |
|
6 |
Strong breeze |
10.8–13.8 |
Large branches in motion |
|
7 |
Moderate gale |
13.9–17.1 |
Whole trees in motion walking impeded |
|
8 |
Gale |
17.2–20.7 |
Twigs break off trees |
|
9 |
Strong Gale |
20.8–24.4 |
Slight structural damage chimney pots |
|
10 |
Storm |
24.5–28.4 |
Trees uprooted |
|
11 |
Violent Storm |
28.5–32.6 |
Widespread damage |
|
12 |
Hurricane Force |
≥32.7 |
Widespread destruction |
Download Excel Table
3. 바람에 의한 헬륨기구의 공간적 위치 변화 분석
Figure 12는 풍속에 대한 원형 헬륨기구의 초기 설치 지점으로부터 이동된 거리의 결과이다. 풍속이 강해짐에 따라 원형 헬륨기구가 이동되는 거리가 증가되는 경향이 나타났으며, 특히 1.2 m/s 이상의 풍속에서 급격히 원형 헬륨기구의 이동거리가 증가하는 경향이 나타났다. 이와 같은 급격한 움직임은 LOS의 변동을 심화시켜 RSSI의 변화량이 커질 수 있을 것으로 판단된다.
Figure 12.
Distribution of distance from the reference point of the helium balloon by wind speeds.
Download Original Figure
선행연구에서는 LOS의 급격한 변동으로 인한 RSSI의 변화량이 커질수록, 데이터 송ㆍ수신 시 패킷 손실률이 증가하여 안정적인 무선통신이 어려워질 수 있다는 결과를 제시하였다(Renzone et al., 2024). 본 연구에서 Figure 13은 풍속별 RSSI의 변화량에 대한 결과이다. 1.2 m/s 이상의 풍속부터 RSSI의 변화량이 급격히 커지는 경향이 나타났으며, 이는 Figure 12의 결과처럼 1.2 m/s 이상의 풍속에서 원형 헬륨기구의 급격한 움직임이 발생하여 나타난 것으로 판단된다. 따라서 고려된 Wi-Fi 통신망 시스템은 1.2 m/s 미만의 풍속에서 운용하는 것이 안정적인 무선통신 환경을 제공할 수 있을 것으로 판단되며, 더 높은 풍속에서 고려된 시스템을 운용하기 위해서는 바람에 의한 위치 변동을 최소화할 수 있는 내풍성이 강한 헬리카이트 형태의 헬륨기구(Belmekki et al., 2022) 적용이 필요할 것으로 사료된다.
4. 원격 목재수확 작업을 위한 현장 적용 가능성 검증
바람에 의한 헬륨기구의 자세 분석 그리고 바람에 의한 헬륨기구의 공간적 위치 변화 분석을 통해 고려된 원형 헬륨기구 기반 Wi-Fi 통신망 시스템은 1.2 m/s 미만의 풍속에서 임업기계의 원격제어를 위해 운용이 가능할 수 있을 것으로 판단된다.
이를 검증하기 위해 Figure 14와 같이 1.2 m/s 이상 또는 미만의 풍속에서 원형 헬륨기구의 위치 이동으로 인한 Wi-Fi 통신망의 변화를 ArcGIS를 통해 시각적으로 분석하였다. 흰색 영역은 1.2 m/s 미만의 풍속에서 나타난 Wi-Fi 통신망의 모습이며, 빨간색 영역은 1.2 m/s 이상의 풍속에서 나타난 Wi-Fi 통신망의 모습이다. 1.2 m/s 미만의 풍속에서는 원형 헬륨기구의 움직임이 크지 않아 Figure 7에서 선정한 목재수확 대상지를 모두 커버하였다. 또한 RSSI도 임업기계의 원격제어가 가능한 −69 dBm 이상의 수치가 계측되었으며, 변화량도 2 dbm 이하로 나타났다. 그러나 1.2 m/s 이상의 풍속에서는 원형 헬륨기구의 움직임이 커져 Wi-Fi 통신망이 목재수확 대상지를 벗어나는 모습이 나타났다. 또한 RSSI도 −69 dBm 미만의 수치가 계측되었으며, 변화량도 5 dBm 이상 차이가 나는 모습도 나타났다. 따라서 고려된 Wi-Fi 통신망 시스템을 통해 원격 목재수확 작업을 위해서는 1.2 m/s 미만의 풍속 조건을 운용 기준으로 설정하는 것이 타당할 것으로 판단되며, 이러한 검증 결과는 산림에서 임업기계의 원격제어를 위한 통신망 구축 시 기초자료가 될 수 있을 것으로 판단된다.
Figure 14.
Wi-Fi coverage pattern with respect to wind speed; (White) Wi-Fi coverage under wind speeds below 1.2 m/s, (Red) Wi-Fi coverage under wind speeds above 1.2 m/s, (Yellow) Hypothetical salvage logging site, (black) Location of Wi-Fi receiver installation.
Download Original Figure
결 론
본 연구에서는 원격 목재수확 작업을 위한 무선 통신망 구축을 위해 원형 헬륨기구 기반 Wi-Fi 통신망 시스템의 바람에 대한 자세 및 위치 변화를 분석하였으며, 이를 통해 안정적으로 운용할 수 있는 풍속을 규명하였다. 그리고 규명된 풍속 내에서 이 시스템을 통해 생성된 Wi-Fi 통신망이 안정적으로 목재수확 대상지를 커버하고 임업기계의 원격제어가 가능한 통신상태를 유지하는지 분석하여, 현장 적용 가능성에 대한 검증을 수행하였다. 고려된 시스템은 임내 목재수확 현장에서 평균 풍속 1.2 m/s 미만까지 임업기계의 원격제어를 위해 운용할 수 있을 것으로 사료된다. 그러나 그 이상의 풍속에서 시스템을 운용하기 위해서는 내풍성이 강한 헬리카이트 형태의 헬륨기구 적용을 고려해 볼 수 있을 것으로 판단된다. 또한 헬륨기구의 Roll, Pitch의 각도가 ± 10° 이하를 유지할 수 있는 자세 제어 기술 그리고 바람으로 인한 헬륨기구의 이동을 최소화할 수 있는 계류 기술 등의 추가적인 연구도 필요할 것으로 사료된다.
감사의 글
이 연구는 산림청(한국임업진흥원)이 지원하는 ‘산림과학기술 연구개발사업(2023475A00-2325-BB01)’의 지원을 받아 수행되었습니다.
References
BelmekkI, B.E.Y. and Alouni, M.S. 2022. Unleashing the Potential of Networked Tethered Flying Platforms: Prospects, Challenges, and Applications. IEEE 3: 278-320

Bilici, E. and Akay, A.E. 2015. Risks factors associated with post-fire salvage logging operations. European Journal of Forest Engineering 1(2): 93-100.
Bilici, E., Andiç, G.V., Akay, A.E. and Sessions, J. 2019. Productivity of a portable winch system used in salvage logging of storm-damaged timber. Croatian Journal of Forest Engineering 40(2).

Brunnström, K., Dima, E., Andersson, M., Sjöström, M., Qureshi, T. and Johanson, M. 2019. Quality of experience of hand controller latency in a virtual reality simulator. Human Vision and Electronic Imaging 31.
Cadei, A., Mologni, O., Röser, D., Cavalli, R. and Grigolato, S. 2020. Forwarder productivity in salvage logging operations in Di cult terrain. Forests 11(3).

Kim, G.H., Kim, K.D., Lee, H.S., Choi, Y.S., Mun, H.S., Oh, J.H. and Shin, B.S. 2021. Development of Wi-Fi-Based teleoperation system for forest harvester. Journal of Biosystems Engineering 46: 206-216.

Kim, G.H., Lee, H.S., Mun, H.S., Oh, J.H. and Shin, B.S. 2024. Construction of a Wi-Fi system with a tethered balloon in a mountainous region for the teleoperation of vehicular forestry machines. Forests 15(11).

Lai, Z., Tang, M., Hu, X., Shu, X., Huang, W. and Pan, Y. 2024. Dynamics modeling and motion evaluation of a near-ground tethered balloon cable system under severe wind environments. Actuators 13(10).

Marzio, N.D., Imperiali, D., Marchi, L. and Grigolato, S. 2025. Extension of cut-to-length logging trails on salvage logging operations: An overview of the northeastern Italian alps. Forests 16(4).

National Institute of Forest Science. 2022. Development of innovative and effective technologies for forest biomass production and supply with mechanized harvesting systems. National Institute of Forest Science report, p.61.
Pang, C., He, Z., Song, K. and Cao, S. 2024. Analysis of wind field response characteristics of tethered balloon systems. Aerospace 11(5).

Teixeira, F.B., Campos, R. and Ricardo, M. 2020. Height optimization in aerial networks for enhanced broadband communications at sea. IEEE 8: 28311-28323.
